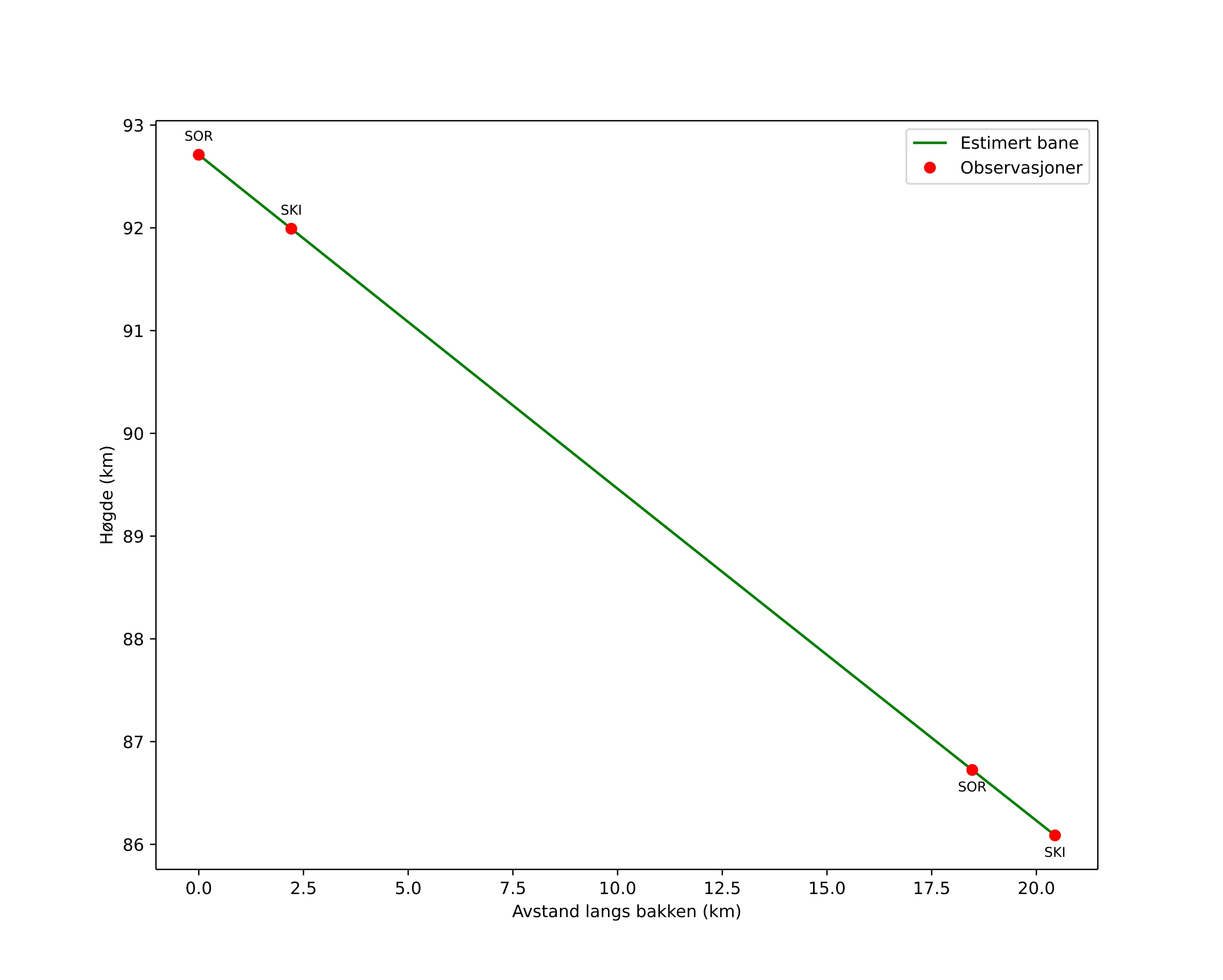
Atmosférická dráha meteoru:
| Počátečnà výška: | 92,7 km |
| Konečná výška: | 86,1 km |
| Počátečnà poloha: | 66,538N 16,800E |
| Konečná poloha: | 66,411N 16,466E |
| Směr: | 226,5° |
| Sklon: | 17,9° |
| VstupnĂ rychlost: | 68,0 km/s |
| Rektascenze radiantu: | 13:35 (203,9°) |
| Deklinace radiantu: | 32,5° |
| MeteorickĂ˝ roj: | sporadickĂ˝ |
|
Elementy dráhy meteoroidu:
| Vzdálenost v periheliu: | 0,739 AU |
| Excentricita: | 1,859 |
| Sklon dráhy: | 106,0° |
| Délka vzestupného uzlu: | 241,6° |
| Argument perihelia: | 127,8° |
| Střednà anomálie: | 30,1° |
| Epocha: | 2025 NOV 23 23:57:09 |
|