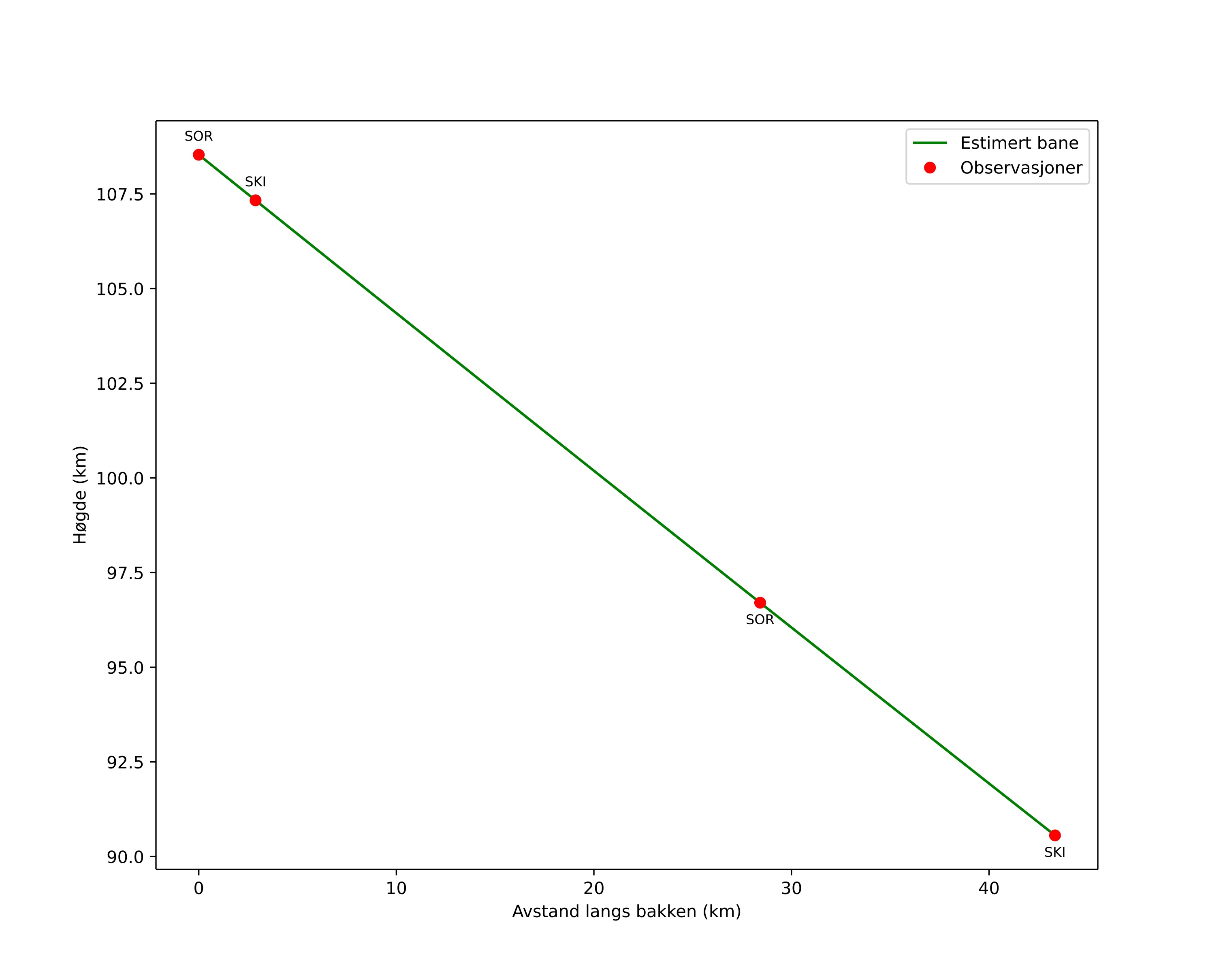
Atmosférická dráha meteoru:
| Počátečnà výška: | 108,5 km |
| Konečná výška: | 90,6 km |
| Počátečnà poloha: | 69,859N 20,451E |
| Konečná poloha: | 70,122N 19,613E |
| Směr: | 313,0° |
| Sklon: | 22,4° |
| VstupnĂ rychlost: | 75,6 km/s |
| Rektascenze radiantu: | 10:20 (155,1°) |
| Deklinace radiantu: | 7,9° |
| MeteorickĂ˝ roj: | sporadickĂ˝ |
|
Elementy dráhy meteoroidu:
| Vzdálenost v periheliu: | 0,984 AU |
| Excentricita: | 1,212 |
| Sklon dráhy: | 176,1° |
| Délka vzestupného uzlu: | 61,6° |
| Argument perihelia: | 353,5° |
| Střednà anomálie: | 0,4° |
| Epocha: | 2025 NOV 24 01:54:51 |
|