Atmosférická dráha meteoru:
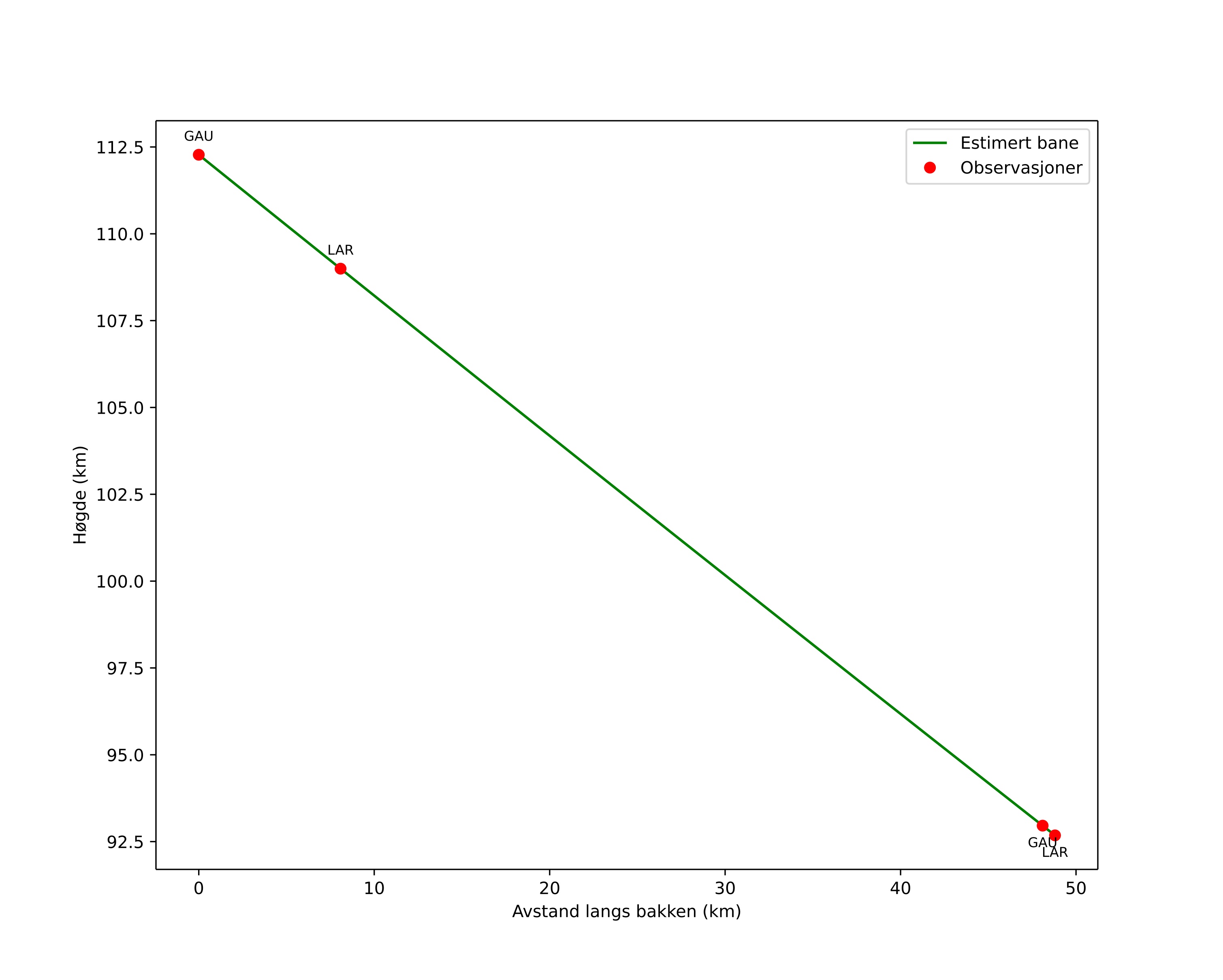
| Počátečnà výška: | 112,3 km |
| Konečná výška: | 92,7 km |
| Počátečnà poloha: | 57,711N 9,171E |
| Konečná poloha: | 57,430N 8,543E |
| Směr: | 230,3° |
| Sklon: | 21,9° |
| VstupnĂ rychlost: | 66,5 km/s |
| Rektascenze radiantu: | 09:26 (141,7°) |
| Deklinace radiantu: | 38,9° |
| MeteorickĂ˝ roj: | sporadickĂ˝ |
|
Elementy dráhy meteoroidu:
| Vzdálenost v periheliu: | 0,722 AU |
| Excentricita: | 1,005 |
| Sklon dráhy: | 136,1° |
| Délka vzestupného uzlu: | 242,5° |
| Argument perihelia: | 242,4° |
| Střednà anomálie: | -0,0° |
| Epocha: | 2025 NOV 24 21:02:33 |
|