Atmosférická dráha meteoru:
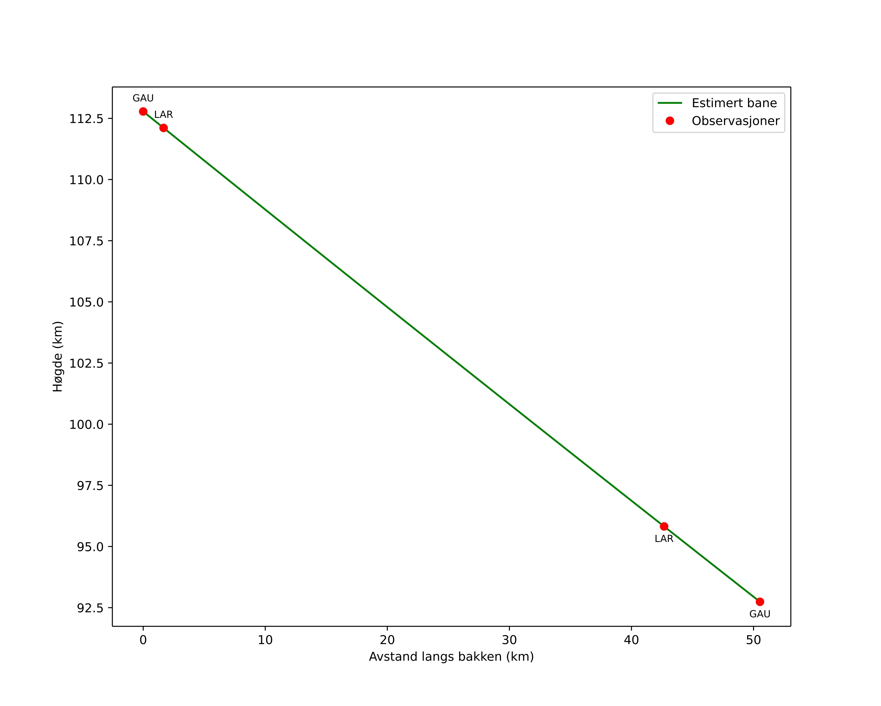
| Počátečnà výška: | 112,8 km |
| Konečná výška: | 92,7 km |
| Počátečnà poloha: | 54,759N 12,739E |
| Konečná poloha: | 54,532N 12,059E |
| Směr: | 240,3° |
| Sklon: | 21,7° |
| VstupnĂ rychlost: | 61,5 km/s |
| Rektascenze radiantu: | 09:36 (144,2°) |
| Deklinace radiantu: | 34,3° |
| MeteorickĂ˝ roj: | sporadickĂ˝ |
|
Elementy dráhy meteoroidu:
| Vzdálenost v periheliu: | 0,663 AU |
| Excentricita: | 0,609 |
| Sklon dráhy: | 141,1° |
| Délka vzestupného uzlu: | 242,5° |
| Argument perihelia: | 262,4° |
| Střednà anomálie: | 338,7° |
| Epocha: | 2025 NOV 24 21:43:48 |
|