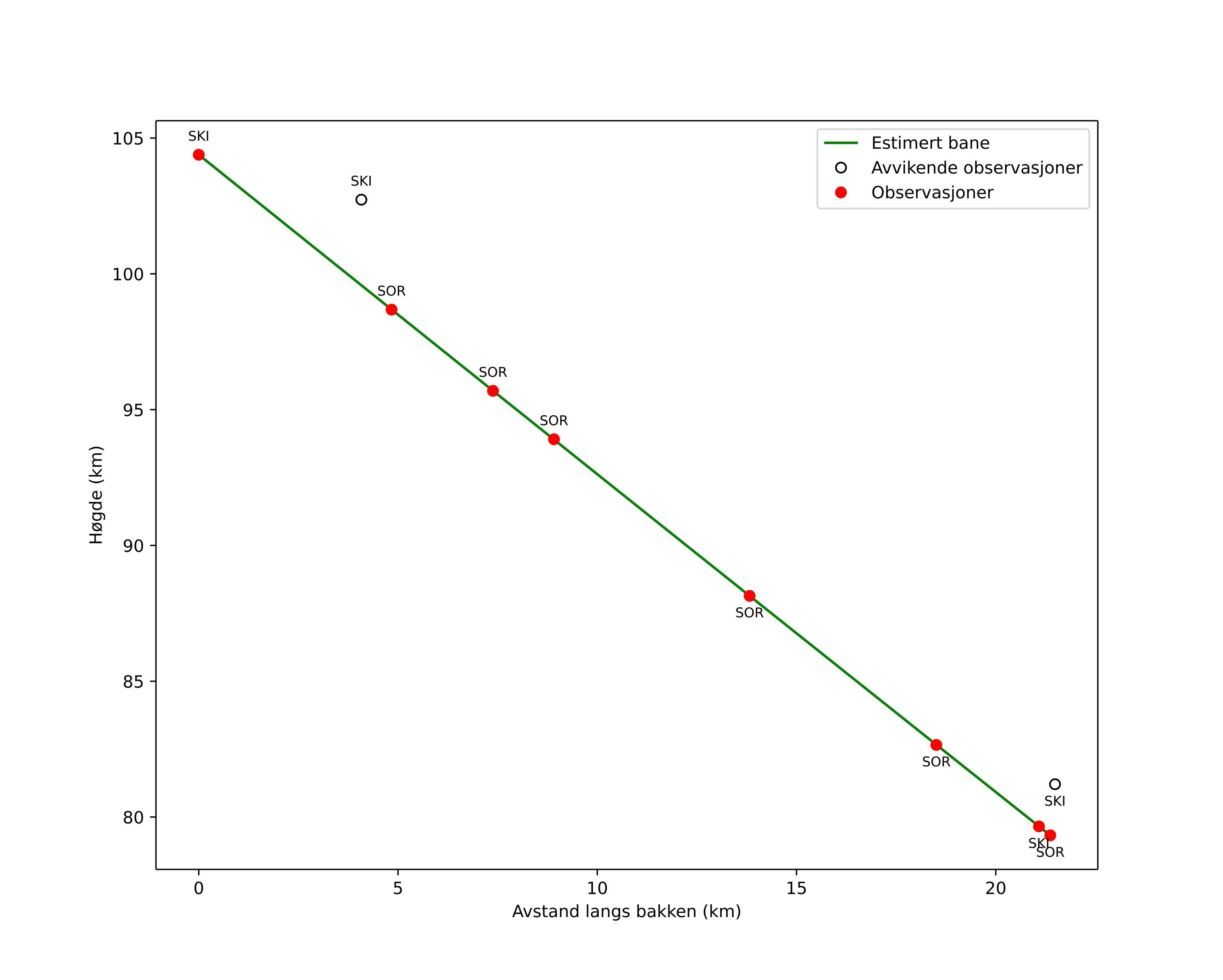
Atmosférická dráha meteoru:
| Počátečnà výška: | 104,4 km |
| Konečná výška: | 79,3 km |
| Počátečnà poloha: | 70,136N 17,096E |
| Konečná poloha: | 70,288N 16,750E |
| Směr: | 322,7° |
| Sklon: | 49,6° |
| VstupnĂ rychlost: | 41,7 km/s |
| Rektascenze radiantu: | 05:17 (79,4°) |
| Deklinace radiantu: | 32,0° |
| MeteorickĂ˝ roj: | sporadickĂ˝ |
|
Elementy dráhy meteoroidu:
| Vzdálenost v periheliu: | 0,193 AU |
| Excentricita: | 0,999 |
| Sklon dráhy: | 19,3° |
| Délka vzestupného uzlu: | 242,5° |
| Argument perihelia: | 307,6° |
| Střednà anomálie: | 360,0° |
| Epocha: | 2025 NOV 24 22:03:29 |
|