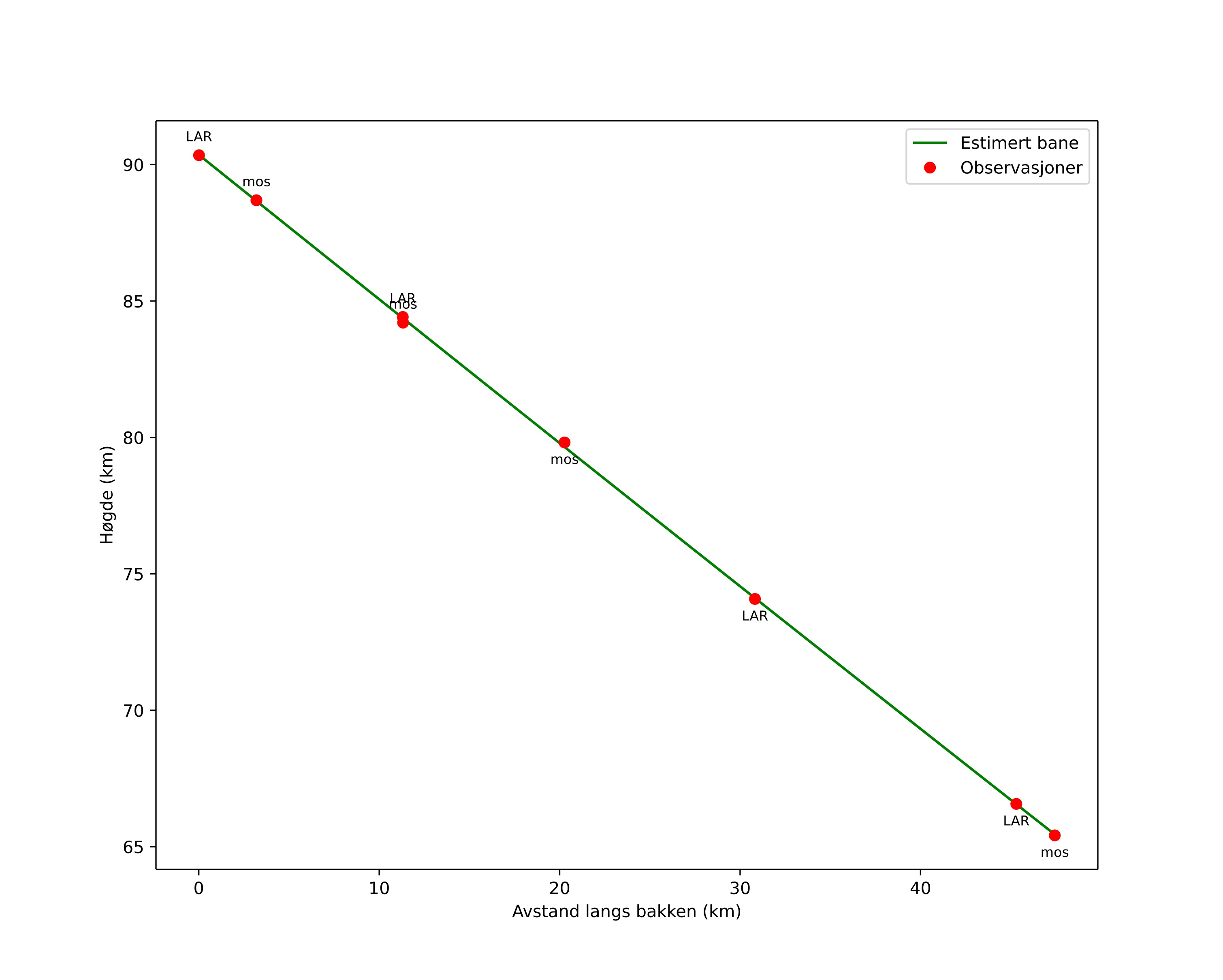
Atmosférická dráha meteoru:
| Počátečnà výška: | 90,4 km |
| Konečná výška: | 65,4 km |
| Počátečnà poloha: | 59,903N 8,287E |
| Konečná poloha: | 60,220N 8,859E |
| Směr: | 41,7° |
| Sklon: | 27,8° |
| VstupnĂ rychlost: | 25,8 km/s |
| Rektascenze radiantu: | 04:26 (66,5°) |
| Deklinace radiantu: | 0,7° |
| MeteorickĂ˝ roj: | sporadickĂ˝ |
|
Elementy dráhy meteoroidu:
| Vzdálenost v periheliu: | 0,582 AU |
| Excentricita: | 0,758 |
| Sklon dráhy: | 15,8° |
| Délka vzestupného uzlu: | 62,7° |
| Argument perihelia: | 87,2° |
| Střednà anomálie: | 348,3° |
| Epocha: | 2025 NOV 25 02:08:20 |
|