🇳🇴 🇬🇧 🇩🇪 🇨🇿 🇫🇮

Meteor über Hamar 2025-11-25 02:14:07 UTC

KML-Datei  |  Interaktive Karte

Die Karte zeigt die Peilungen für den Meteor. Die helleren Linien zeigen die Richtungen von den Beobachtungsorten beim Erscheinen des Meteors, und die dunkleren Linien, wo er zuletzt gesehen wurde. Der blaue Pfeil zeigt die sichtbare Bahn des Meteors.

static map
height profile
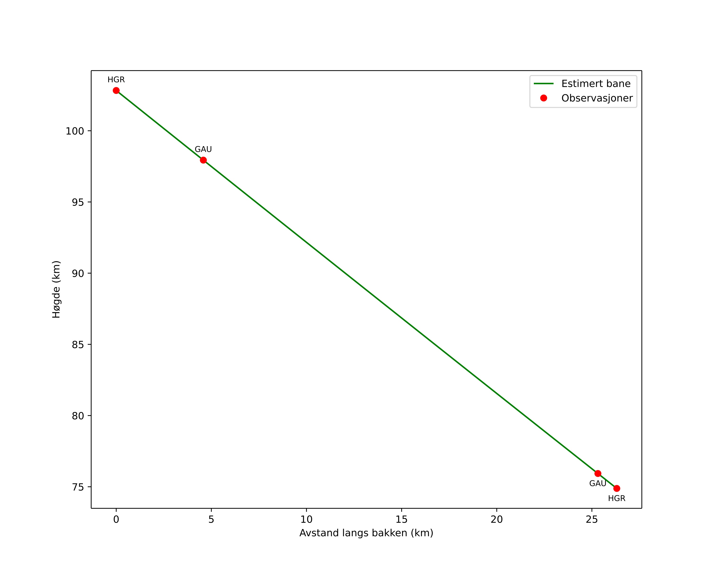
Atmosphärische Bahn des Meteors:
Anfangshöhe: 102,8 km
Endhöhe: 74,9 km
Startposition: 60,995N 11,057E
Endposition: 60,759N 11,007E
Richtung: 185,9°
Neigungswinkel: 46,7°
Eintrittsgeschwindigkeit: 27,5 km/s
Rektaszension des Radianten: 18:23 (275,8°)
Deklination des Radianten: 73,5°
Meteorstrom: sporadisch
Bahnelemente des Meteoroiden:
Periheldistanz: 0,978 AU
Exzentrizität: 0,671
Inklination: 40,3°
Länge des aufsteigenden Knotens: 242,7°
Argument des Perihels: 192,5°
Mittlere Anomalie: 358,2°
Epoche: 2025 NOV 25 02:14:07
orbit plot

Nicht-interaktives Diagramm | Interaktives Diagramm

position vs time
speed and acceleration

Gaustatoppen (GAU) cam2


gnomonic
Videos
• Gnomonisch
• Gnomonisch mit Koordinaten
• Original
• Original mit Koordinaten
Bilder
• Gnomonisch
• Gnomonisch mit Koordinaten
• Original
• Original mit Koordinaten
Textdateien
• Erkennung
• Beobachtung
• Koordinaten
• Protokoll
Helligkeit

Hagar (HGR) cam7


gnomonic
Videos
• Gnomonisch
• Gnomonisch mit Koordinaten
• Original
• Original mit Koordinaten
Bilder
• Gnomonisch
• Gnomonisch mit Koordinaten
• Original
• Original mit Koordinaten
Textdateien
• Erkennung
• Beobachtung
• Koordinaten
• Protokoll
Helligkeit