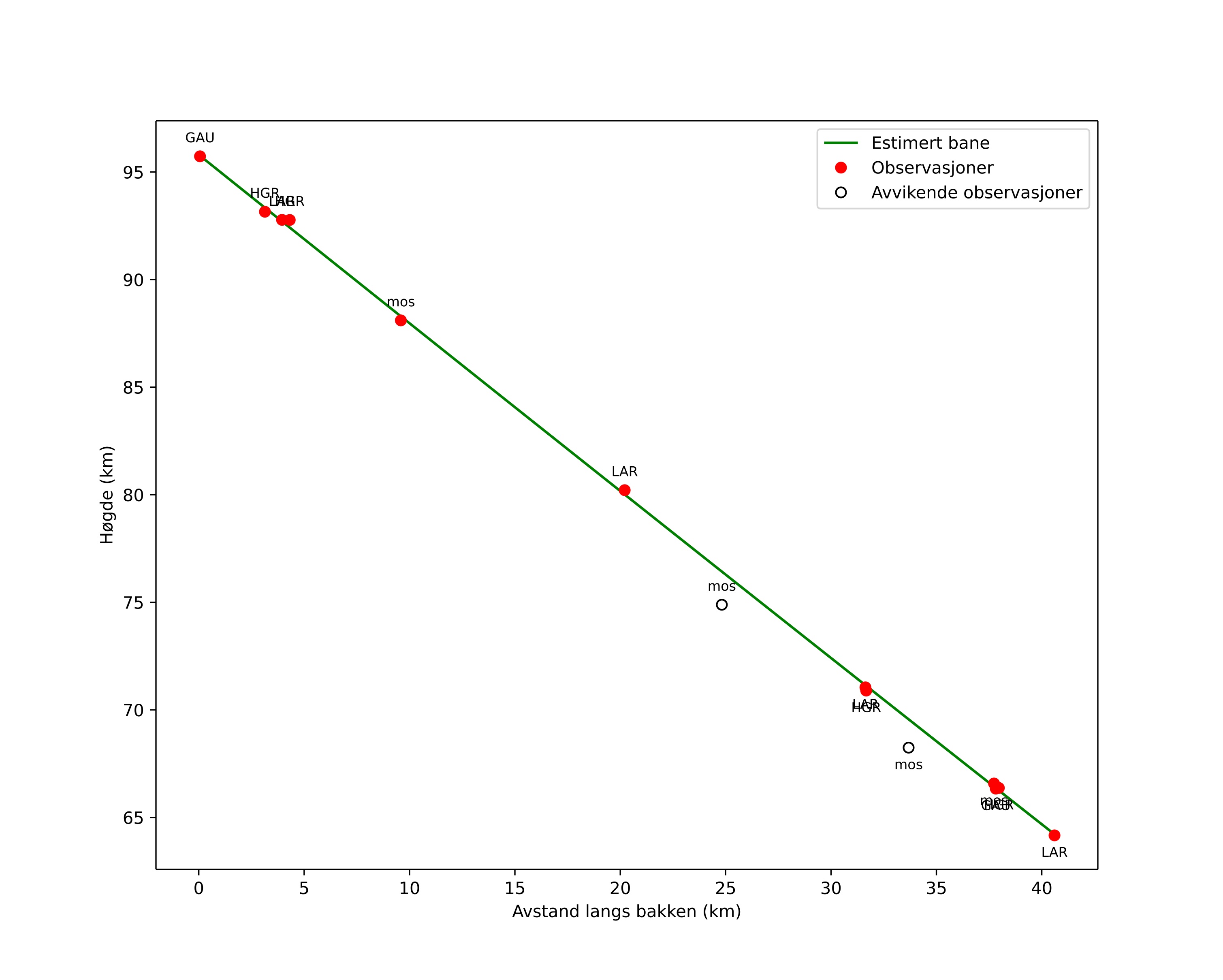
Atmosférická dráha meteoru:
| Počátečnà výška: | 95,8 km |
| Konečná výška: | 64,2 km |
| Počátečnà poloha: | 57,859N 10,444E |
| Konečná poloha: | 58,056N 11,023E |
| Směr: | 57,1° |
| Sklon: | 37,9° |
| VstupnĂ rychlost: | 26,8 km/s |
| Rektascenze radiantu: | 04:22 (65,5°) |
| Deklinace radiantu: | 14,4° |
| MeteorickĂ˝ roj: | sporadickĂ˝ |
|
Elementy dráhy meteoroidu:
| Vzdálenost v periheliu: | 0,510 AU |
| Excentricita: | 0,794 |
| Sklon dráhy: | 6,0° |
| Délka vzestupného uzlu: | 62,7° |
| Argument perihelia: | 95,2° |
| Střednà anomálie: | 349,0° |
| Epocha: | 2025 NOV 25 02:26:45 |
|