Atmosférická dráha meteoru:
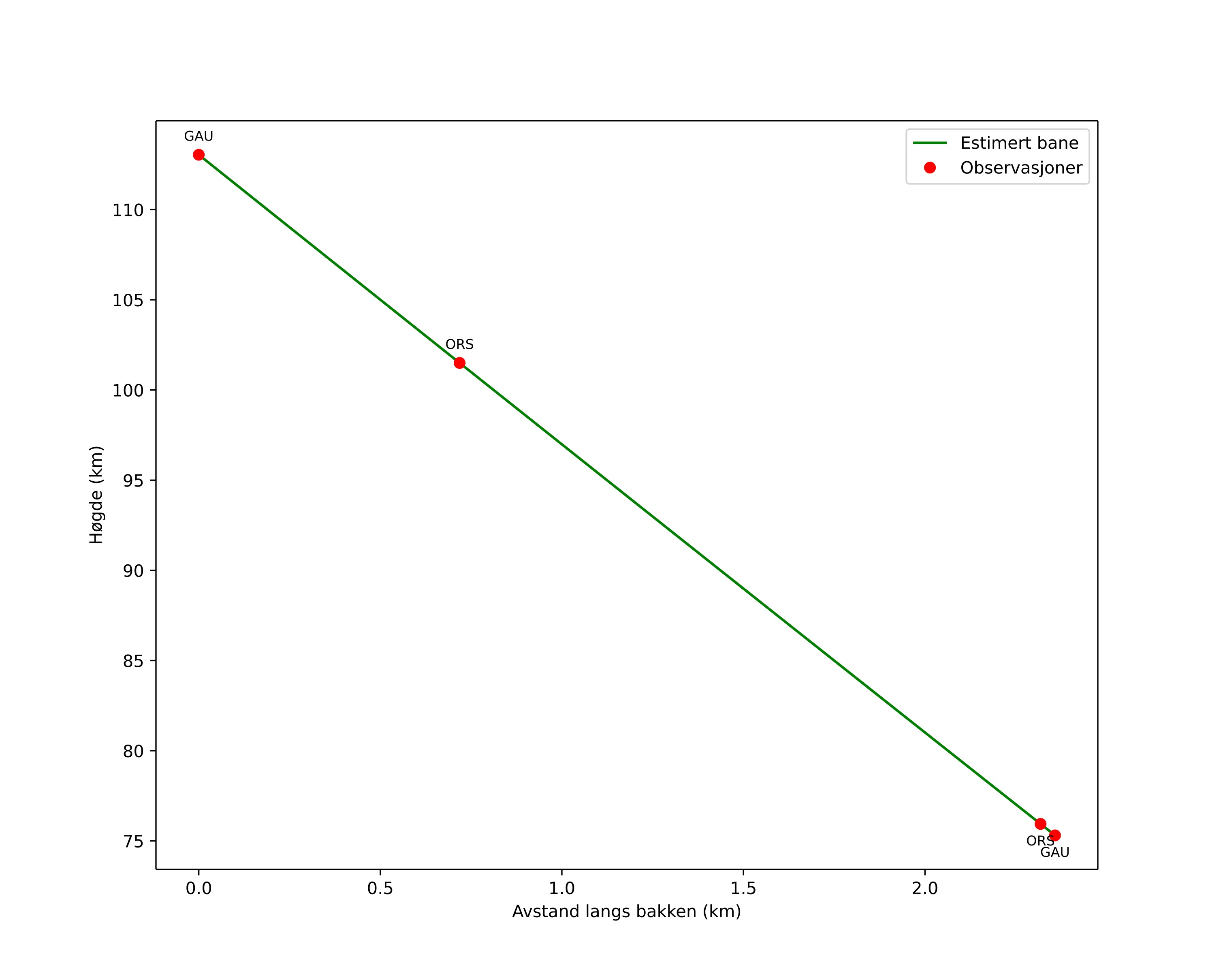
| Počátečnà výška: | 113,0 km |
| Konečná výška: | 75,3 km |
| Počátečnà poloha: | 63,566N 11,693E |
| Konečná poloha: | 63,587N 11,695E |
| Směr: | 3,2° |
| Sklon: | 86,4° |
| VstupnĂ rychlost: | 61,1 km/s |
| Rektascenze radiantu: | 09:52 (148,2°) |
| Deklinace radiantu: | 59,9° |
| MeteorickĂ˝ roj: | sporadickĂ˝ |
|
Elementy dráhy meteoroidu:
| Vzdálenost v periheliu: | 0,831 AU |
| Excentricita: | 1,368 |
| Sklon dráhy: | 101,9° |
| Délka vzestupného uzlu: | 242,8° |
| Argument perihelia: | 223,4° |
| Střednà anomálie: | -7,1° |
| Epocha: | 2025 NOV 25 04:53:59 |
|