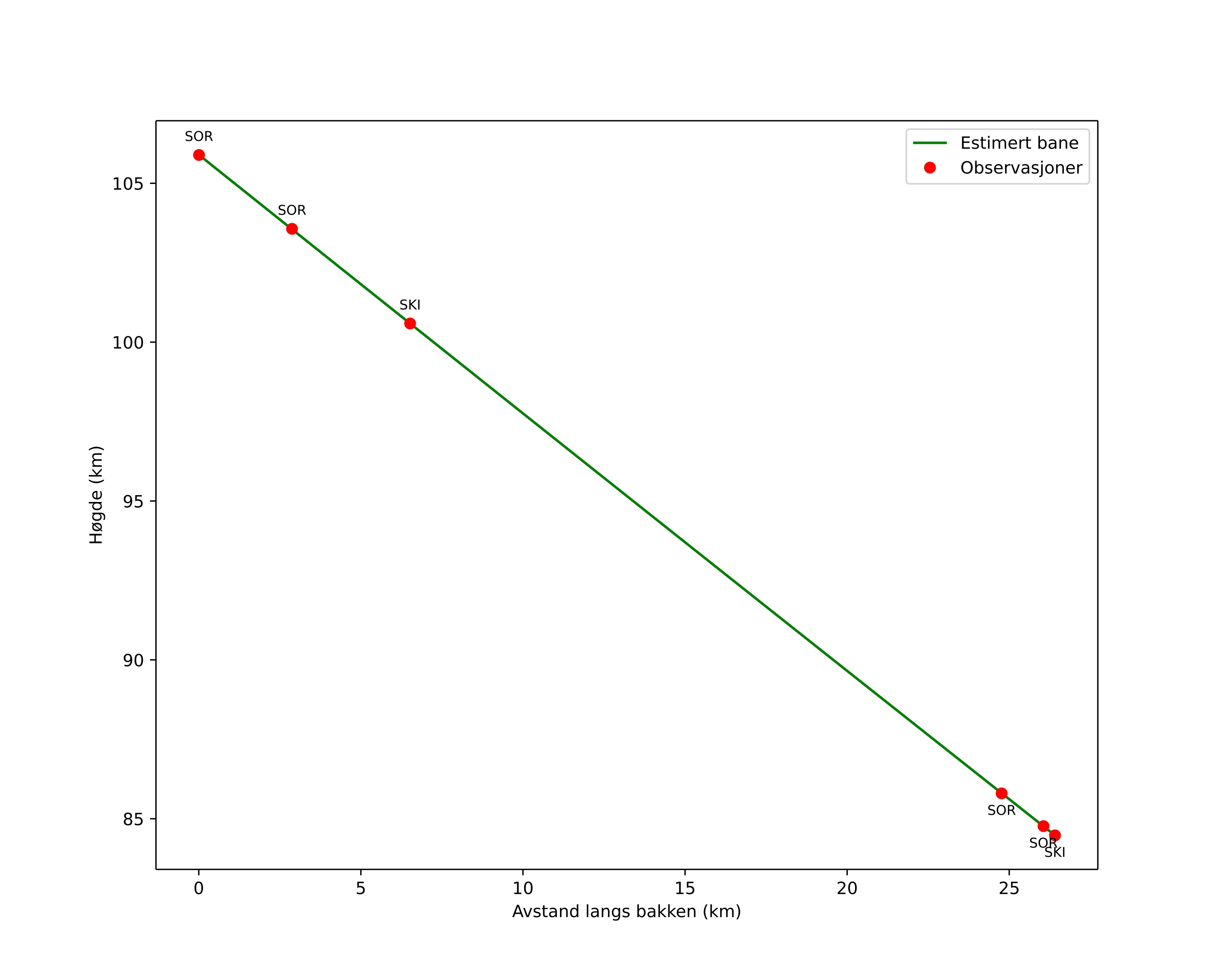
Atmosférická dráha meteoru:
| Počátečnà výška: | 105,9 km |
| Konečná výška: | 84,5 km |
| Počátečnà poloha: | 69,423N 20,855E |
| Konečná poloha: | 69,569N 20,320E |
| Směr: | 308,2° |
| Sklon: | 39,0° |
| VstupnĂ rychlost: | 70,1 km/s |
| Rektascenze radiantu: | 08:51 (132,8°) |
| Deklinace radiantu: | 24,6° |
| MeteorickĂ˝ roj: | sporadickĂ˝ |
|
Elementy dráhy meteoroidu:
| Vzdálenost v periheliu: | 0,569 AU |
| Excentricita: | 1,103 |
| Sklon dráhy: | 165,8° |
| Délka vzestupného uzlu: | 243,6° |
| Argument perihelia: | 259,0° |
| Střednà anomálie: | -2,7° |
| Epocha: | 2025 NOV 26 00:19:59 |
|