🇳🇴 🇬🇧 🇩🇪 🇨🇿 🇫🇮

Meteor over Spetalen 2025-11-28 06:13:23 UTC

KML-fil  |  Interaktivt kart

Kartet viser peilingene for meteoren. De lysere linjene viser retningene fra observasjonsstedene for meteorens tilsynekomst, og de mørkere linjene viser hvor den sist kunne sees. Den blå pila viser meteorens synlige ferd.

static map
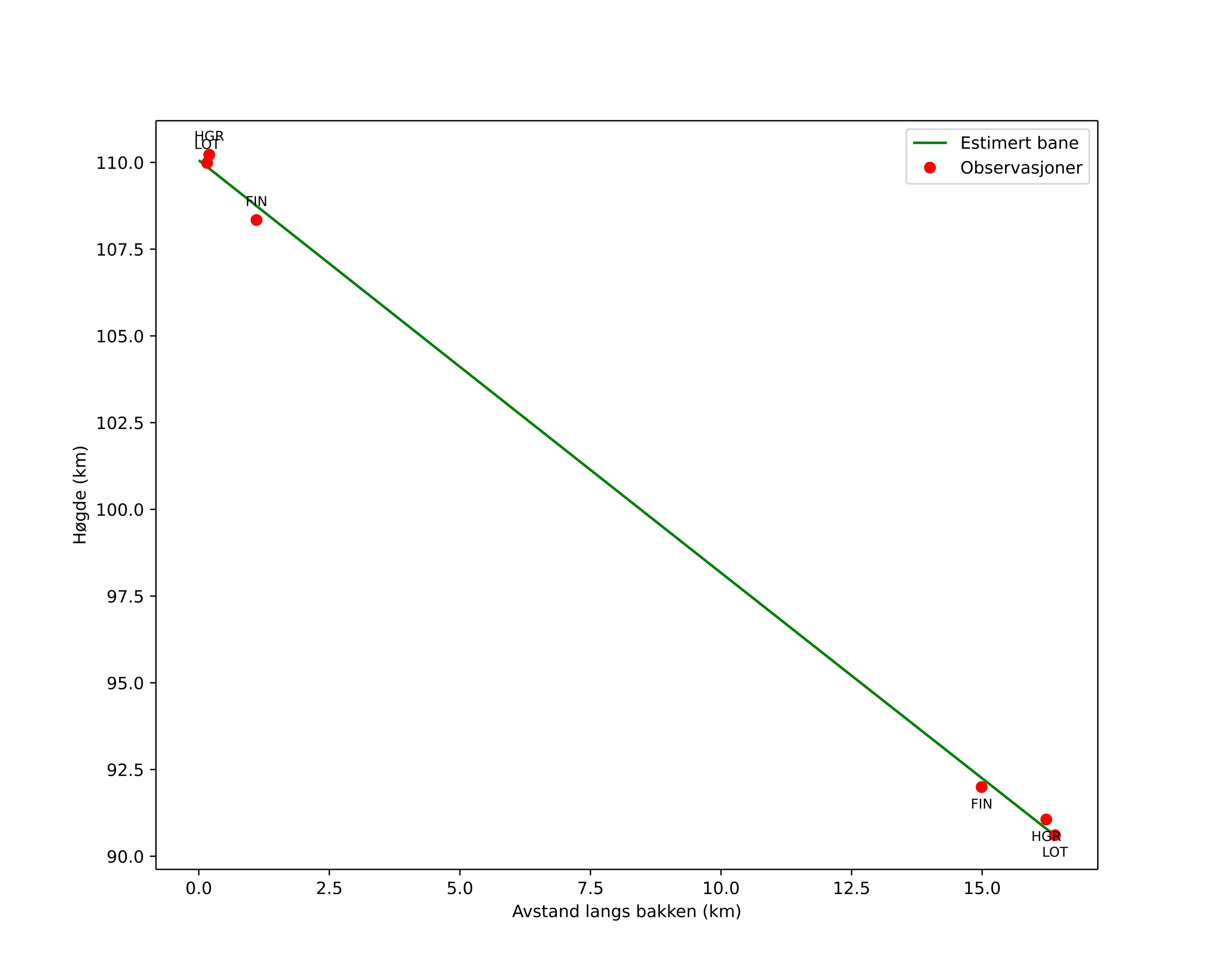
height profile
Meteorens atmosfæriske bane:
Starthøgde: 110,1 km
Slutthøgde: 90,6 km
Startposisjon: 60,203N 11,944E
Sluttposisjon: 60,340N 11,833E
Retning: 338,0°
Fallvinkel: 50,0°
Inngangshastighet: 72,9 km/s
Radiantens rektascensjon: 12:28 (187,1°)
Radiantens deklinasjon: 21,4°
Meteorsverm: sporadisk
Meteoroidens baneelement:
Perihelavstand: 0,777 AU
Eksentrisitet: 1,482
Inklinasjon: 139,1°
Knutelengde: 245,9°
Perihelargument: 130,2°
Midlere anomali: 12,5°
Epoke: 2025 NOV 28 06:13:23
orbit plot

Ikke-interaktivt plott | Interaktivt plott

position vs time
speed and acceleration

Finnskogen (FIN) cam7


gnomonic
Videoer
• Gnomonisk
• Gnomonisk med koordinater
• Original
• Original med koordinater
Bilder
• Gnomonisk
• Gnomonisk med koordinater
• Original
• Original med koordinater
Tekstfiler
• Deteksjon
• Observasjon
• Koordinater
• Logg
Lysstyrke

Hagar (HGR) cam6


gnomonic
Videoer
• Gnomonisk
• Gnomonisk med koordinater
• Original
• Original med koordinater
Bilder
• Gnomonisk
• Gnomonisk med koordinater
• Original
• Original med koordinater
Tekstfiler
• Deteksjon
• Observasjon
• Koordinater
• Logg
Lysstyrke

Loten (LOT) cam7


gnomonic
Videoer
• Gnomonisk
• Gnomonisk med koordinater
• Original
• Original med koordinater
Bilder
• Gnomonisk
• Gnomonisk med koordinater
• Original
• Original med koordinater
Tekstfiler
• Deteksjon
• Observasjon
• Koordinater
• Logg
Lysstyrke