🇳🇴 🇬🇧 🇩🇪 🇨🇿 🇫🇮

Meteor, poloha: Skarnes 2025-11-29 03:21:12 UTC

Soubor KML  |  InteraktivnĂ­ mapa

Mapa zobrazuje dráhy meteoru. Světlejší čáry ukazují směry od pozorovacích stanic při objevení se meteoru a tmavší čáry, kde byl naposledy viděn. Modrá šipka značí viditelnou dráhu meteoru.

static map
height profile
wind profile
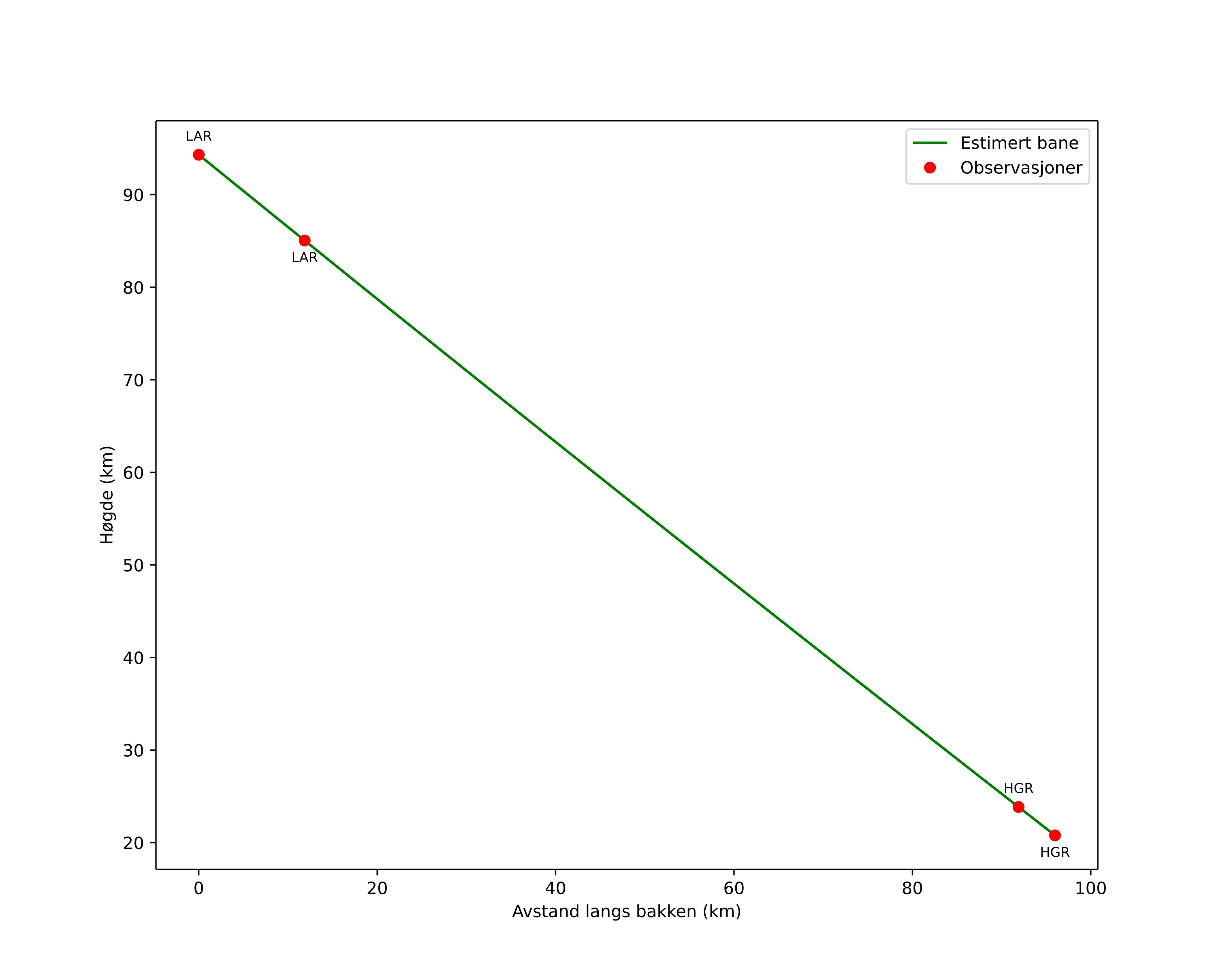
Atmosférická dráha meteoru:
Počáteční výška: 94,3 km
Konečná výška: 20,8 km
Počáteční poloha: 59,577N 10,416E
Konečná poloha: 60,129N 11,739E
Směr: 49,7°
Sklon: 37,4°
VstupnĂ­ rychlost: 38,9 km/s
Rektascenze radiantu: 05:55 (88,9°)
Deklinace radiantu: 14,1°
MeteorickĂ˝ roj: sporadickĂ˝
Elementy dráhy meteoroidu:
Vzdálenost v periheliu: 0,170 AU
Excentricita: 0,942
Sklon dráhy: 20,4°
Délka vzestupného uzlu: 66,8°
Argument perihelia: 134,9°
Střední anomálie: 353,1°
Epocha: 2025 NOV 29 03:21:12
orbit plot

NeinteraktivnĂ­ graf | InteraktivnĂ­ graf

position vs time
speed and acceleration

Hagar (HGR) cam4


gnomonic
Videa
• Gnomonická
• Gnomonická se souřadnicemi
• Původní
• Původní se souřadnicemi
Obrázky
• Gnomonická
• Gnomonická se souřadnicemi
• Původní
• Původní se souřadnicemi
Textové soubory
• Detekce
• Pozorování
• Souřadnice
• Protokol
Jasnost

Larvik (LAR) cam6


gnomonic
Videa
• Gnomonická
• Gnomonická se souřadnicemi
• Původní
• Původní se souřadnicemi
Obrázky
• Gnomonická
• Gnomonická se souřadnicemi
• Původní
• Původní se souřadnicemi
Textové soubory
• Detekce
• Pozorování
• Souřadnice
• Protokol
Jasnost