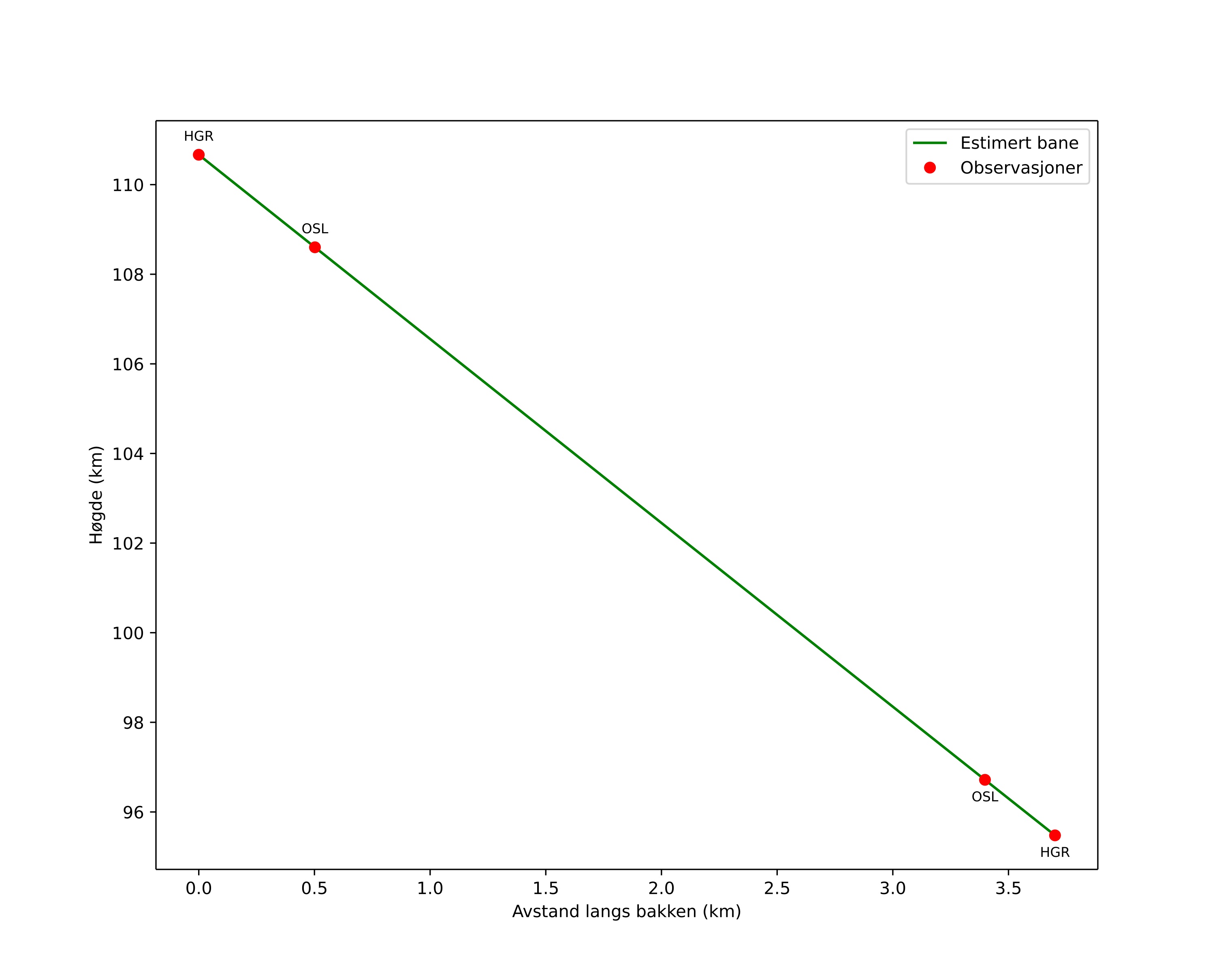
Atmosférická dráha meteoru:
| Počátečnà výška: | 110,7 km |
| Konečná výška: | 95,5 km |
| Počátečnà poloha: | 60,540N 8,677E |
| Konečná poloha: | 60,572N 8,658E |
| Směr: | 344,2° |
| Sklon: | 76,3° |
| VstupnĂ rychlost: | 73,0 km/s |
| Rektascenze radiantu: | 10:53 (163,5°) |
| Deklinace radiantu: | 47,1° |
| MeteorickĂ˝ roj: | sporadickĂ˝ |
|
Elementy dráhy meteoroidu:
| Vzdálenost v periheliu: | 0,940 AU |
| Excentricita: | 1,965 |
| Sklon dráhy: | 121,5° |
| Délka vzestupného uzlu: | 246,9° |
| Argument perihelia: | 201,7° |
| Střednà anomálie: | -12,3° |
| Epocha: | 2025 NOV 29 05:26:55 |
|