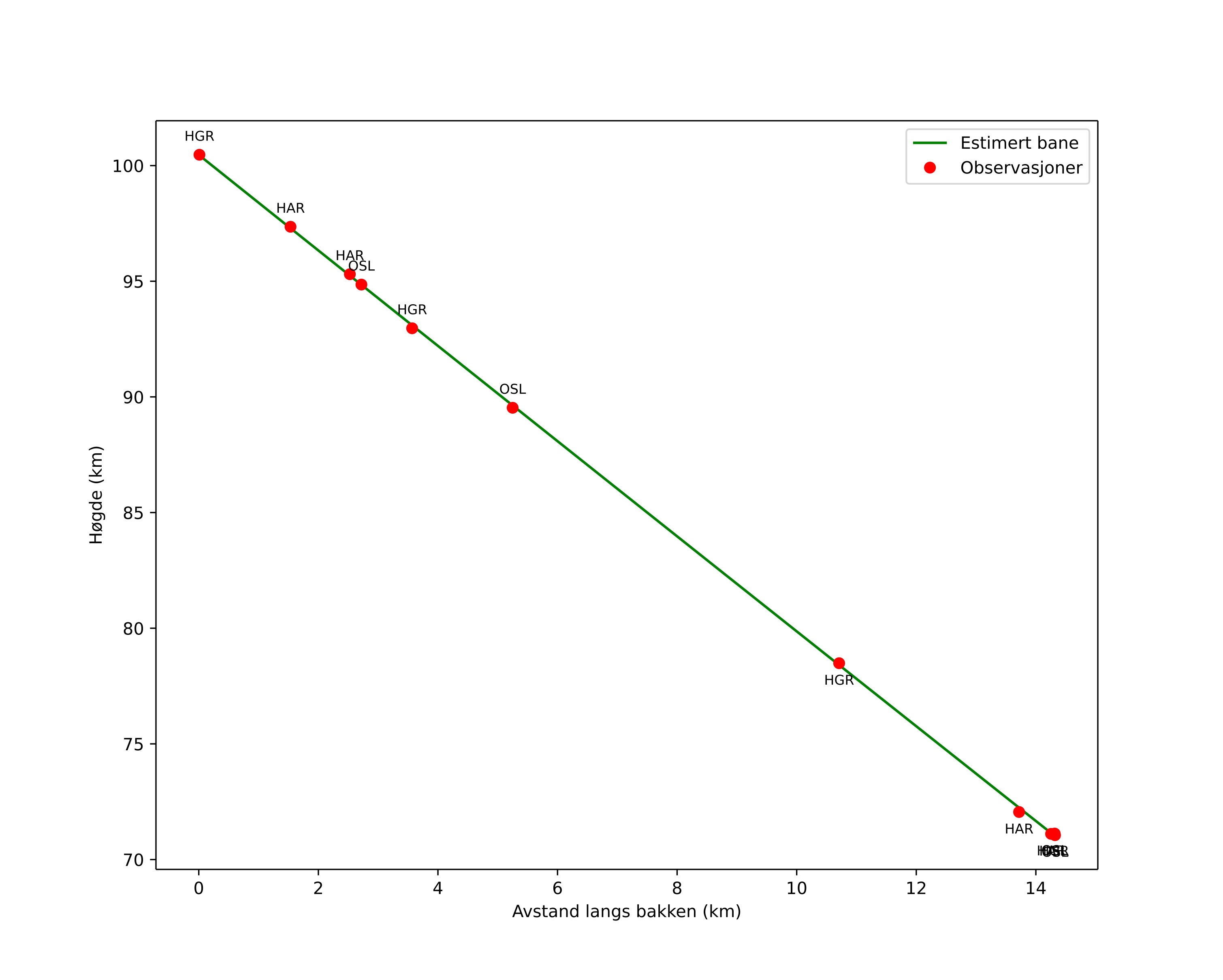
Atmosférická dráha meteoru:
| Počátečnà výška: | 100,5 km |
| Konečná výška: | 71,0 km |
| Počátečnà poloha: | 61,078N 9,379E |
| Konečná poloha: | 60,949N 9,399E |
| Směr: | 175,8° |
| Sklon: | 64,1° |
| VstupnĂ rychlost: | 32,9 km/s |
| Rektascenze radiantu: | 20:53 (313,3°) |
| Deklinace radiantu: | 86,6° |
| MeteorickĂ˝ roj: | sporadickĂ˝ |
|
Elementy dráhy meteoroidu:
| Vzdálenost v periheliu: | 0,911 AU |
| Excentricita: | 0,893 |
| Sklon dráhy: | 46,9° |
| Délka vzestupného uzlu: | 247,4° |
| Argument perihelia: | 213,0° |
| Střednà anomálie: | 359,1° |
| Epocha: | 2025 NOV 29 18:26:19 |
|