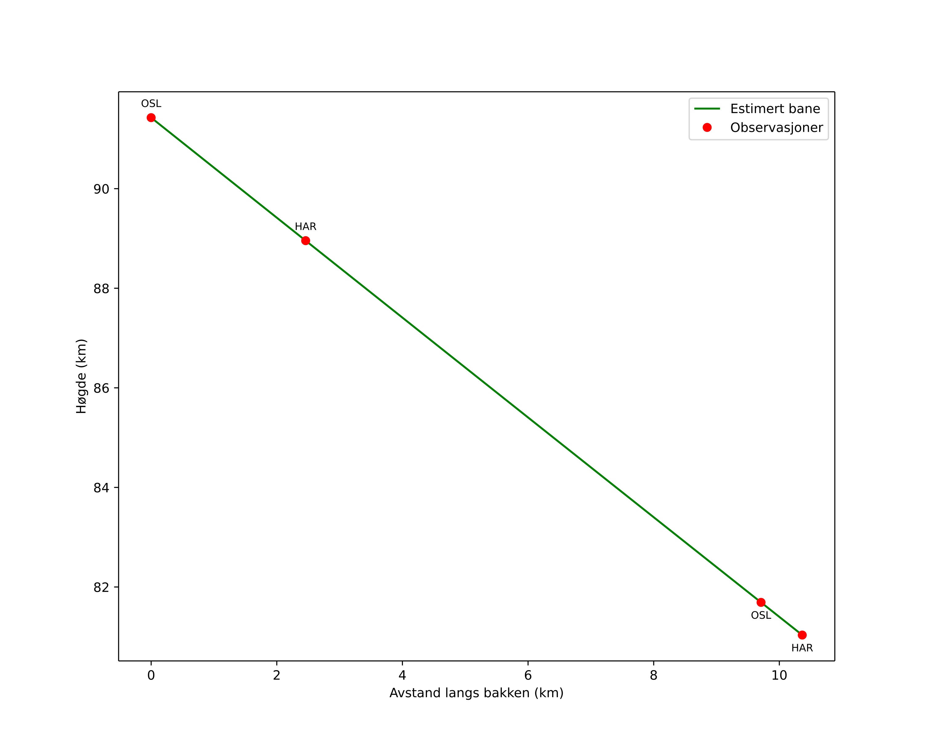
Atmosférická dráha meteoru:
| Počátečnà výška: | 91,4 km |
| Konečná výška: | 81,0 km |
| Počátečnà poloha: | 60,084N 10,735E |
| Konečná poloha: | 60,168N 10,815E |
| Směr: | 25,2° |
| Sklon: | 45,1° |
| VstupnĂ rychlost: | 25,9 km/s |
| Rektascenze radiantu: | 04:09 (62,4°) |
| Deklinace radiantu: | 14,7° |
| MeteorickĂ˝ roj: | sporadickĂ˝ |
|
Elementy dráhy meteoroidu:
| Vzdálenost v periheliu: | 0,610 AU |
| Excentricita: | 0,855 |
| Sklon dráhy: | 4,6° |
| Délka vzestupného uzlu: | 67,7° |
| Argument perihelia: | 80,0° |
| Střednà anomálie: | 355,4° |
| Epocha: | 2025 NOV 30 00:09:20 |
|