🇳🇴 🇬🇧 🇩🇪 🇨🇿 🇫🇮

Meteor over Bjørkelangen 2025-11-30 01:54:05 UTC

KML-fil  |  Interaktivt kart

Kartet viser peilingene for meteoren. De lysere linjene viser retningene fra observasjonsstedene for meteorens tilsynekomst, og de mørkere linjene viser hvor den sist kunne sees. Den blå pila viser meteorens synlige ferd.

static map
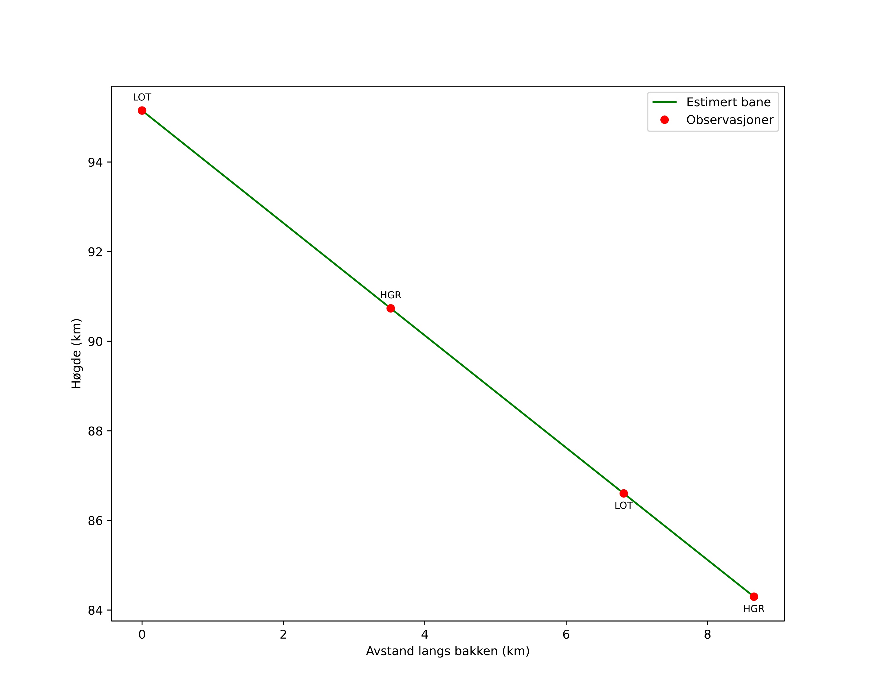
height profile
Meteorens atmosfæriske bane:
Starthøgde: 95,1 km
Slutthøgde: 84,3 km
Startposisjon: 60,049N 11,792E
Sluttposisjon: 59,995N 11,680E
Retning: 226,0°
Fallvinkel: 51,3°
Inngangshastighet: 21,3 km/s
Radiantens rektascensjon: 13:30 (202,7°)
Radiantens deklinasjon: 62,0°
Meteorsverm: sporadisk
Meteoroidens baneelement:
Perihelavstand: 0,664 AU
Eksentrisitet: 0,196
Inklinasjon: 36,3°
Knutelengde: 247,7°
Perihelargument: 356,4°
Midlere anomali: 185,3°
Epoke: 2025 NOV 30 01:54:05
orbit plot

Ikke-interaktivt plott | Interaktivt plott

position vs time
speed and acceleration

Hagar (HGR) cam4


gnomonic
Videoer
• Gnomonisk
• Gnomonisk med koordinater
• Original
• Original med koordinater
Bilder
• Gnomonisk
• Gnomonisk med koordinater
• Original
• Original med koordinater
Tekstfiler
• Deteksjon
• Observasjon
• Koordinater
• Logg
Lysstyrke

Loten (LOT) cam7


gnomonic
Videoer
• Gnomonisk
• Gnomonisk med koordinater
• Original
• Original med koordinater
Bilder
• Gnomonisk
• Gnomonisk med koordinater
• Original
• Original med koordinater
Tekstfiler
• Deteksjon
• Observasjon
• Koordinater
• Logg
Lysstyrke