Atmosférická dráha meteoru:
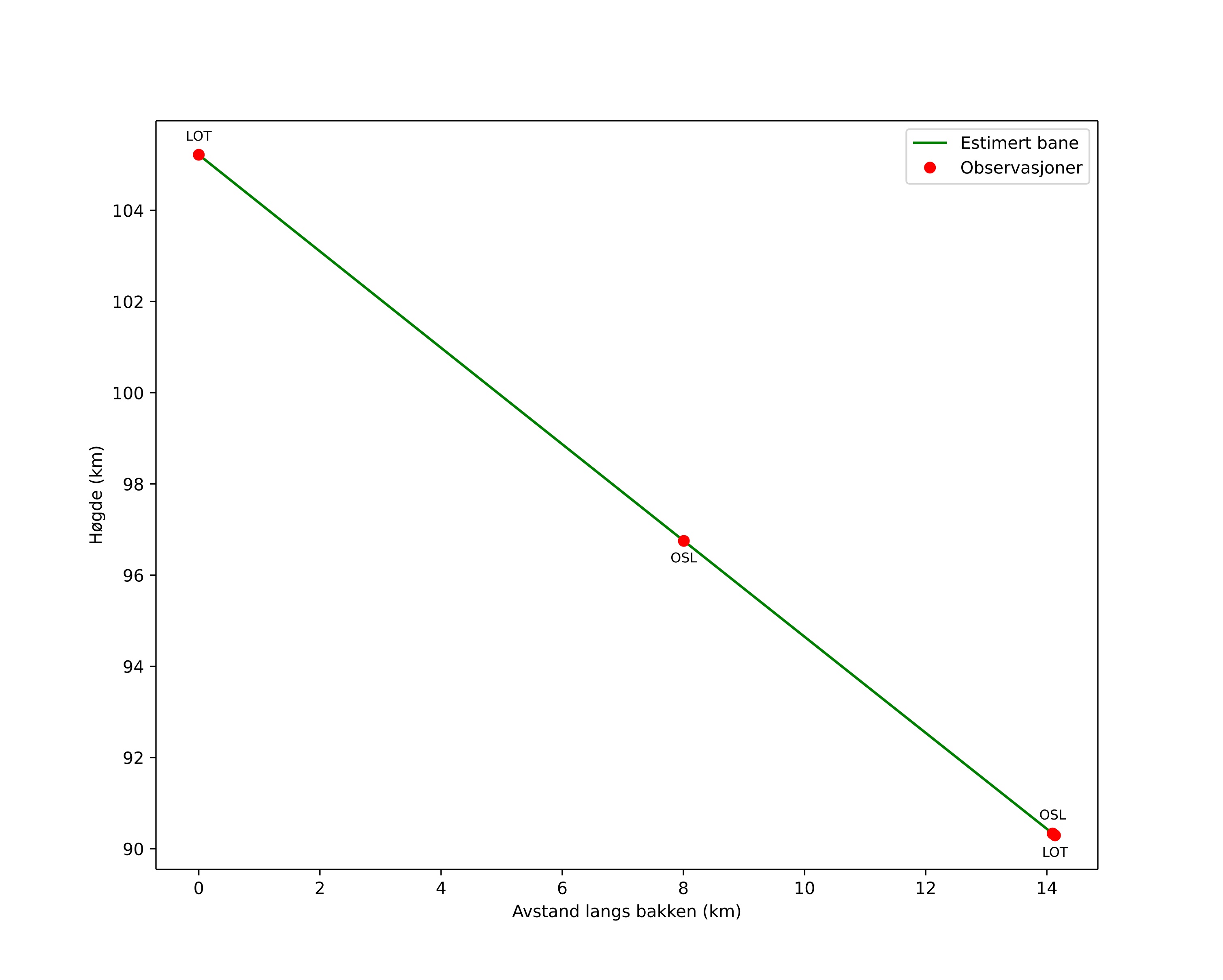
| Počátečnà výška: | 105,2 km |
| Konečná výška: | 90,3 km |
| Počátečnà poloha: | 60,394N 9,857E |
| Konečná poloha: | 60,481N 9,670E |
| Směr: | 313,6° |
| Sklon: | 46,5° |
| VstupnĂ rychlost: | 65,4 km/s |
| Rektascenze radiantu: | 11:28 (172,2°) |
| Deklinace radiantu: | 23,1° |
| MeteorickĂ˝ roj: | sporadickĂ˝ |
|
Elementy dráhy meteoroidu:
| Vzdálenost v periheliu: | 0,979 AU |
| Excentricita: | 0,517 |
| Sklon dráhy: | 147,1° |
| Délka vzestupného uzlu: | 250,9° |
| Argument perihelia: | 168,6° |
| Střednà anomálie: | 3,1° |
| Epocha: | 2025 DEC 03 03:51:12 |
|