🇳🇴 🇬🇧 🇩🇪 🇨🇿 🇫🇮

Meteor over Hamnvik 2025-12-06 17:06:03 UTC

KML-fil  |  Interaktivt kart

Kartet viser peilingene for meteoren. De lysere linjene viser retningene fra observasjonsstedene for meteorens tilsynekomst, og de mørkere linjene viser hvor den sist kunne sees. Den blå pila viser meteorens synlige ferd.

static map
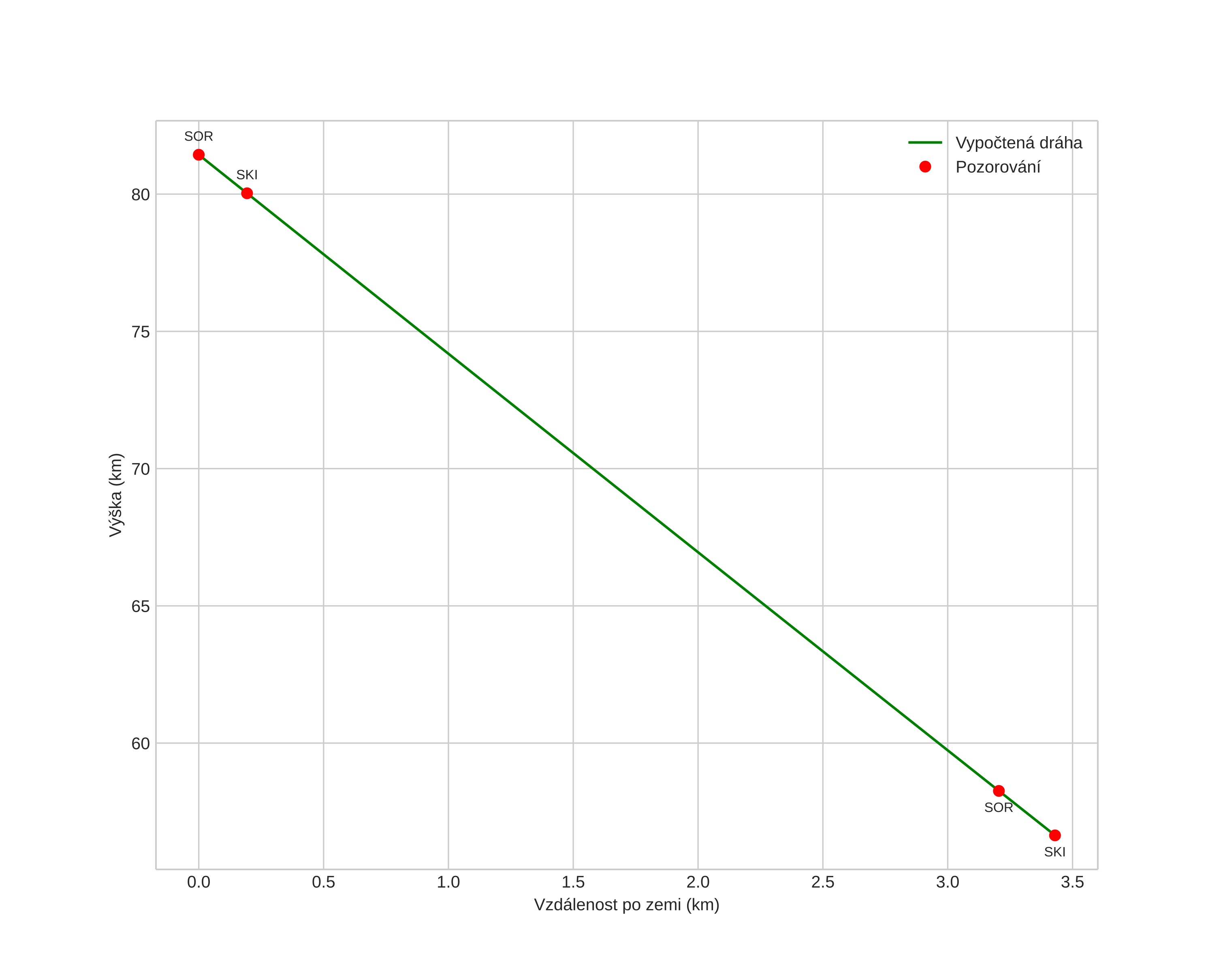
height profile
Meteorens atmosfæriske bane:
Starthøgde: 81,4 km
Slutthøgde: 56,6 km
Startposisjon: 68,958N 17,338E
Sluttposisjon: 68,930N 17,304E
Retning: 203,6°
Fallvinkel: 82,1°
Inngangshastighet: 22,1 km/s
Radiantens rektascensjon: 00:05 (1,5°)
Radiantens deklinasjon: 76,1°
Meteorsverm: sporadisk
Meteoroidens baneelement:
Perihelavstand: 0,917 AU
Eksentrisitet: 0,616
Inklinasjon: 27,5°
Knutelengde: 254,5°
Perihelargument: 215,2°
Midlere anomali: 353,1°
Epoke: 2025 DEC 06 17:06:03
orbit plot

Ikke-interaktivt plott | Interaktivt plott

position vs time
speed and acceleration

Skibotn (SKI) cam5


gnomonic
Videoer
• Gnomonisk
• Gnomonisk med koordinater
• Original
• Original med koordinater
Bilder
• Gnomonisk
• Gnomonisk med koordinater
• Original
• Original med koordinater
Tekstfiler
• Deteksjon
• Observasjon
• Koordinater
• Logg
Lysstyrke

Sorreisa (SOR) cam3

fireball
gnomonic
Videoer
• Gnomonisk
• Gnomonisk med koordinater
• Original
• Original med koordinater
Bilder
• Gnomonisk
• Gnomonisk med koordinater
• Original
• Original med koordinater
Tekstfiler
• Deteksjon
• Observasjon
• Koordinater
• Feilmeldinger
• Logg
Lysstyrke