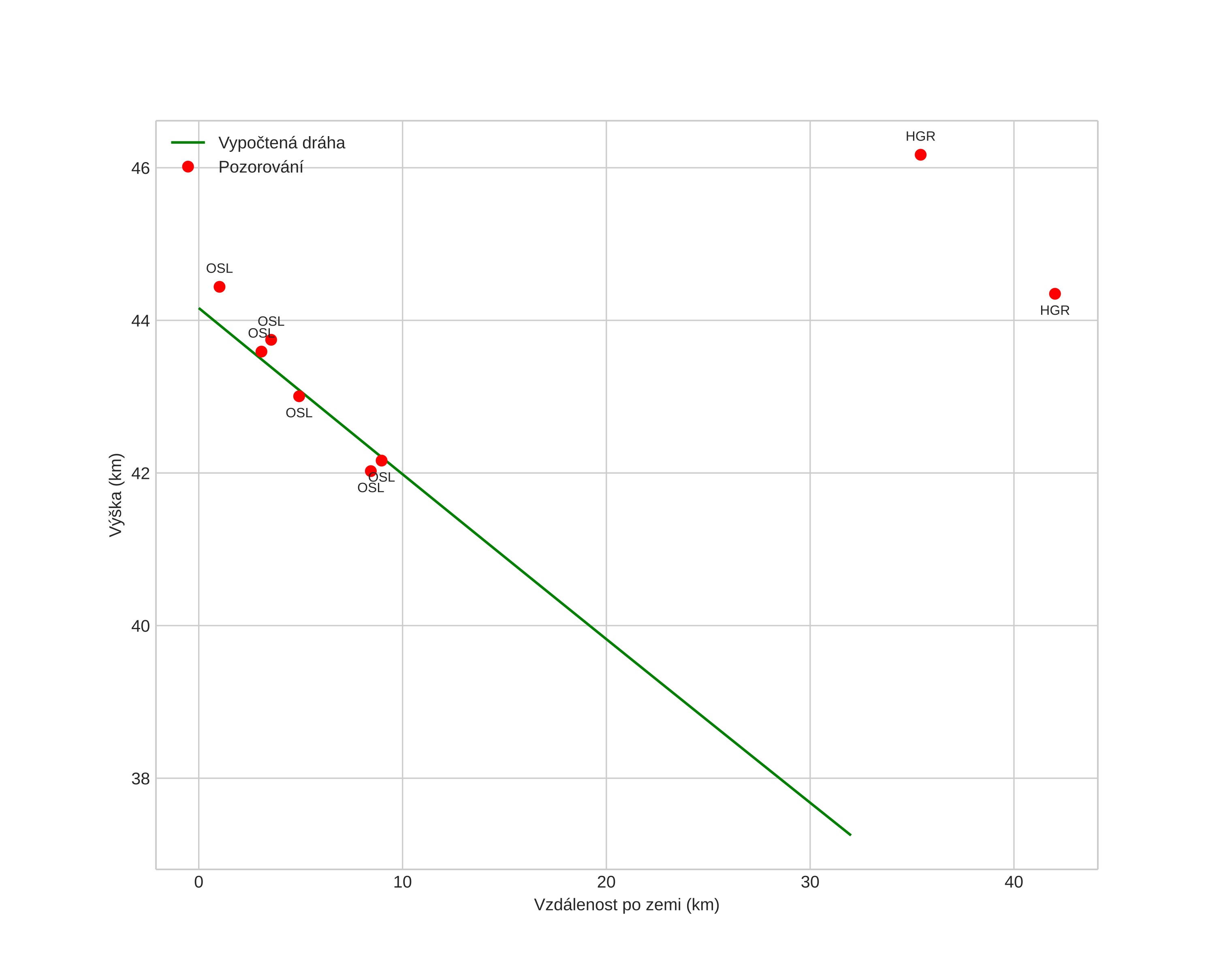
Atmosférická dráha meteoru:
| Počátečnà výška: | 44,2 km |
| Konečná výška: | 37,3 km |
| Počátečnà poloha: | 60,278N 10,912E |
| Konečná poloha: | 60,474N 11,338E |
| Směr: | 46,9° |
| Sklon: | 12,2° |
| VstupnĂ rychlost: | 18,0 km/s |
| Rektascenze radiantu: | 05:29 (82,4°) |
| Deklinace radiantu: | -18,5° |
| MeteorickĂ˝ roj: | sporadickĂ˝ |
|
Elementy dráhy meteoroidu:
| Vzdálenost v periheliu: | 0,763 AU |
| Excentricita: | 0,385 |
| Sklon dráhy: | 17,9° |
| Délka vzestupného uzlu: | 76,9° |
| Argument perihelia: | 79,0° |
| Střednà anomálie: | 321,0° |
| Epocha: | 2025 DEC 09 02:58:28 |
|