🇳🇴 🇬🇧 🇩🇪 🇨🇿 🇫🇮

Meteor over Brumunddal 2025-12-10 22:35:56 UTC

KML-fil  |  Interaktivt kart

Kartet viser peilingene for meteoren. De lysere linjene viser retningene fra observasjonsstedene for meteorens tilsynekomst, og de mørkere linjene viser hvor den sist kunne sees. Den blå pila viser meteorens synlige ferd.

static map
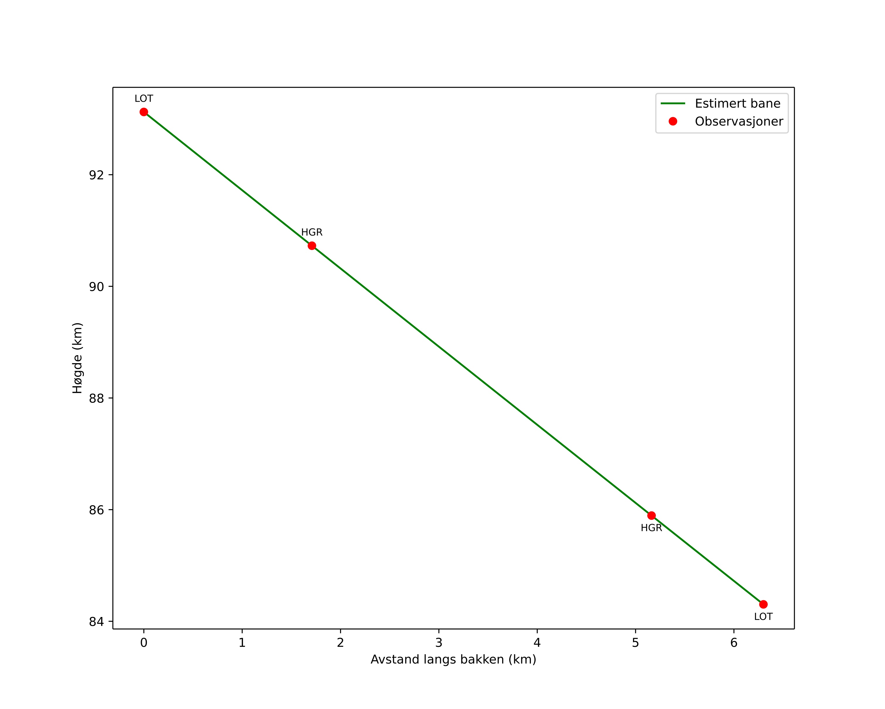
height profile
Meteorens atmosfæriske bane:
Starthøgde: 93,1 km
Slutthøgde: 84,3 km
Startposisjon: 61,019N 11,014E
Sluttposisjon: 61,044N 10,909E
Retning: 296,4°
Fallvinkel: 54,4°
Inngangshastighet: 36,8 km/s
Radiantens rektascensjon: 07:18 (109,6°)
Radiantens deklinasjon: 35,2°
Meteorsverm: Geminidene
Meteoroidens baneelement:
Perihelavstand: 0,156 AU
Eksentrisitet: 0,893
Inklinasjon: 28,2°
Knutelengde: 258,8°
Perihelargument: 321,6°
Midlere anomali: 339,0°
Epoke: 2025 DEC 10 22:35:56
orbit plot

Ikke-interaktivt plott | Interaktivt plott

position vs time
speed and acceleration

Hagar (HGR) cam7


gnomonic
Videoer
• Gnomonisk
• Gnomonisk med koordinater
• Original
• Original med koordinater
Bilder
• Gnomonisk
• Gnomonisk med koordinater
• Original
• Original med koordinater
Tekstfiler
• Deteksjon
• Observasjon
• Koordinater
• Logg
Lysstyrke

Loten (LOT) cam6


gnomonic
Videoer
• Gnomonisk
• Gnomonisk med koordinater
• Original
• Original med koordinater
Bilder
• Gnomonisk
• Gnomonisk med koordinater
• Original
• Original med koordinater
Tekstfiler
• Deteksjon
• Observasjon
• Koordinater
• Logg
Lysstyrke