🇳🇴 🇬🇧 🇩🇪 🇨🇿 🇫🇮

Meteor, poloha: Strömsund 2025-12-11 03:14:40 UTC

Soubor KML  |  Interaktivní mapa

Mapa zobrazuje dráhy meteoru. Světlejší čáry ukazují směry od pozorovacích stanic při objevení se meteoru a tmavší čáry, kde byl naposledy viděn. Modrá šipka značí viditelnou dráhu meteoru.

static map
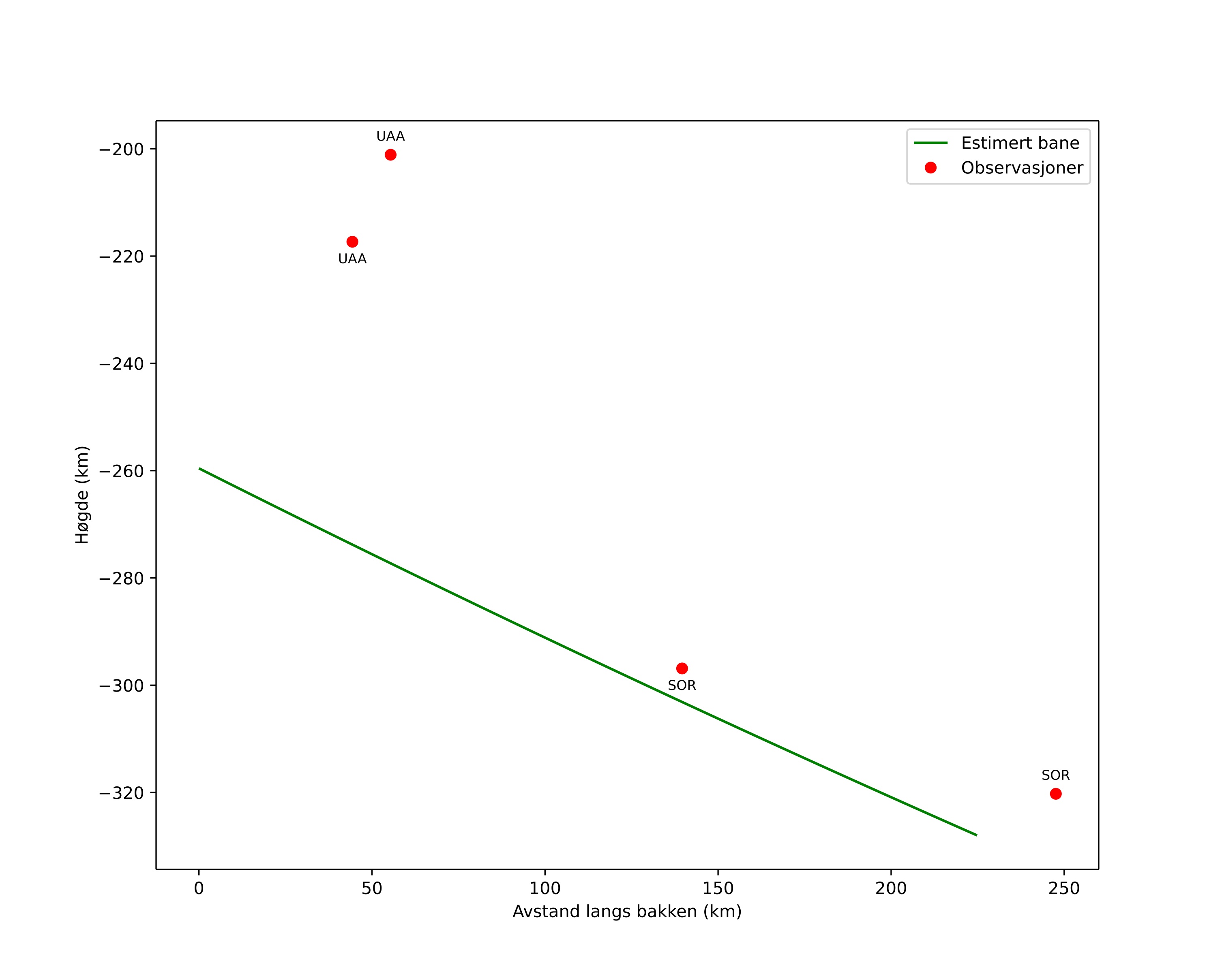
height profile
Atmosférická dráha meteoru:
Počáteční výška: -259,6 km
Konečná výška: -328,0 km
Počáteční poloha: 62,009N 15,716E
Konečná poloha: 64,029N 15,927E
Směr: 2,6°
Sklon: 16,9°
position vs time
speed and acceleration