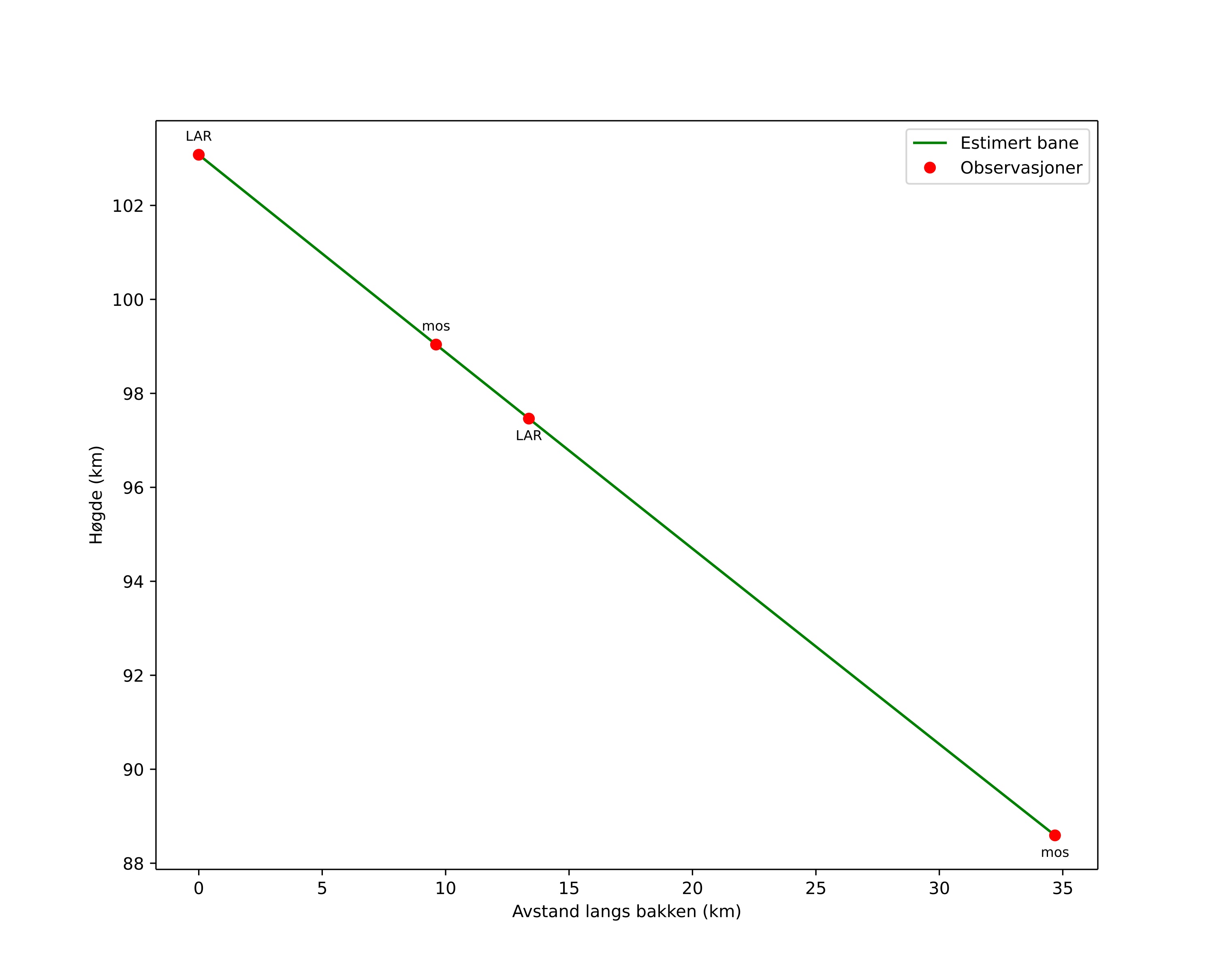
Atmosférická dráha meteoru:
| Počátečnà výška: | 103,1 km |
| Konečná výška: | 88,6 km |
| Počátečnà poloha: | 59,184N 8,037E |
| Konečná poloha: | 59,064N 7,476E |
| Směr: | 247,5° |
| Sklon: | 22,7° |
| VstupnĂ rychlost: | 42,4 km/s |
| Rektascenze radiantu: | 07:23 (110,9°) |
| Deklinace radiantu: | 29,9° |
| MeteorickĂ˝ roj: | sporadickĂ˝ |
|
Elementy dráhy meteoroidu:
| Vzdálenost v periheliu: | 0,084 AU |
| Excentricita: | 0,964 |
| Sklon dráhy: | 26,6° |
| Délka vzestupného uzlu: | 259,6° |
| Argument perihelia: | 329,8° |
| Střednà anomálie: | 350,9° |
| Epocha: | 2025 DEC 11 18:58:43 |
|