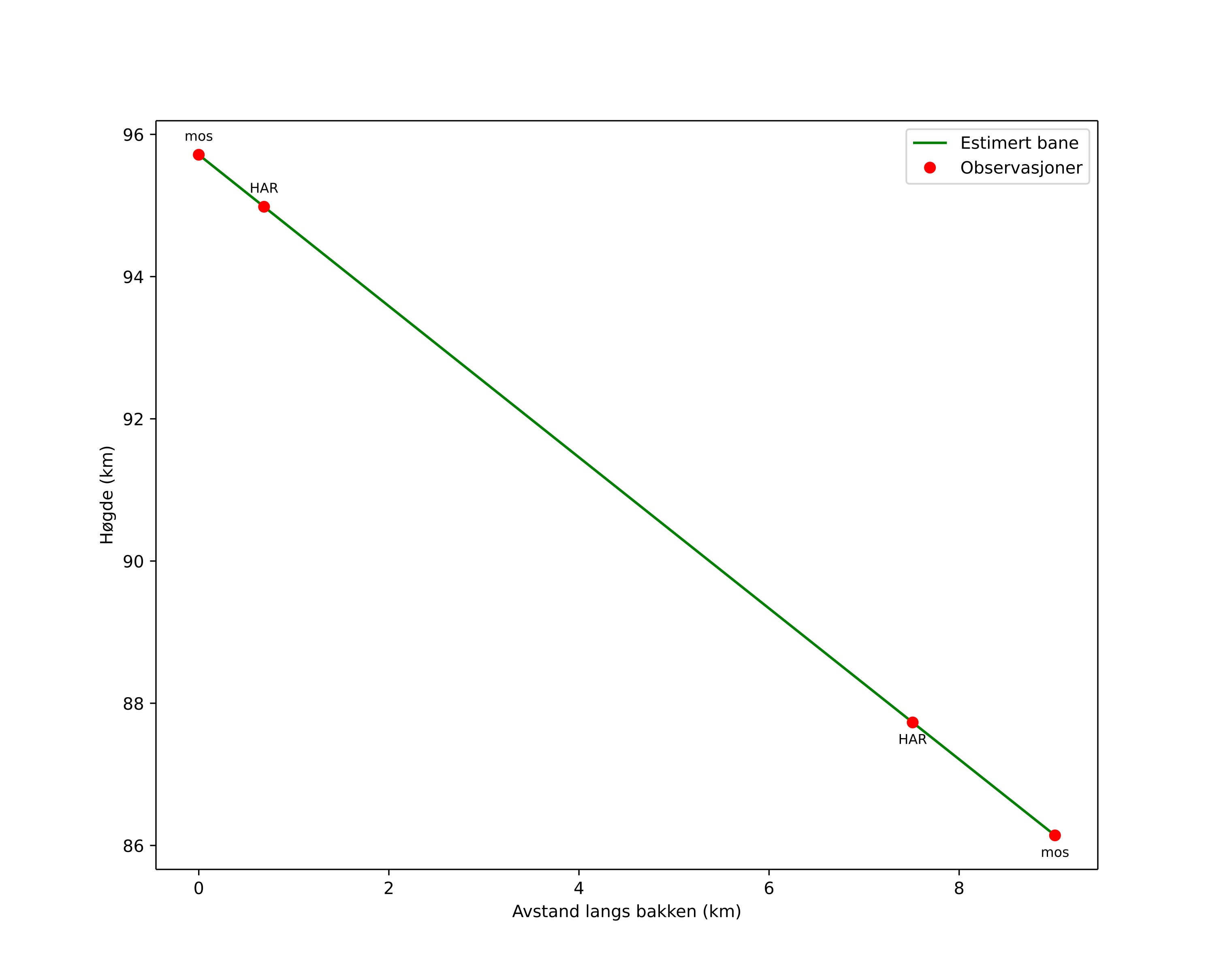
Atmosférická dráha meteoru:
| Počátečnà výška: | 95,7 km |
| Konečná výška: | 86,1 km |
| Počátečnà poloha: | 58,534N 10,521E |
| Konečná poloha: | 58,549N 10,369E |
| Směr: | 280,5° |
| Sklon: | 46,8° |
| VstupnĂ rychlost: | 35,5 km/s |
| Rektascenze radiantu: | 06:57 (104,3°) |
| Deklinace radiantu: | 33,1° |
| MeteorickĂ˝ roj: | Geminidy |
|
Elementy dráhy meteoroidu:
| Vzdálenost v periheliu: | 0,201 AU |
| Excentricita: | 0,884 |
| Sklon dráhy: | 18,6° |
| Délka vzestupného uzlu: | 259,7° |
| Argument perihelia: | 314,0° |
| Střednà anomálie: | 343,6° |
| Epocha: | 2025 DEC 11 21:15:16 |
|