🇳🇴 🇬🇧 🇩🇪 🇨🇿 🇫🇮

Meteor over Tjøme 2025-12-11 22:38:51 UTC

KML-fil  |  Interaktivt kart

Kartet viser peilingene for meteoren. De lysere linjene viser retningene fra observasjonsstedene for meteorens tilsynekomst, og de mørkere linjene viser hvor den sist kunne sees. Den blå pila viser meteorens synlige ferd.

static map
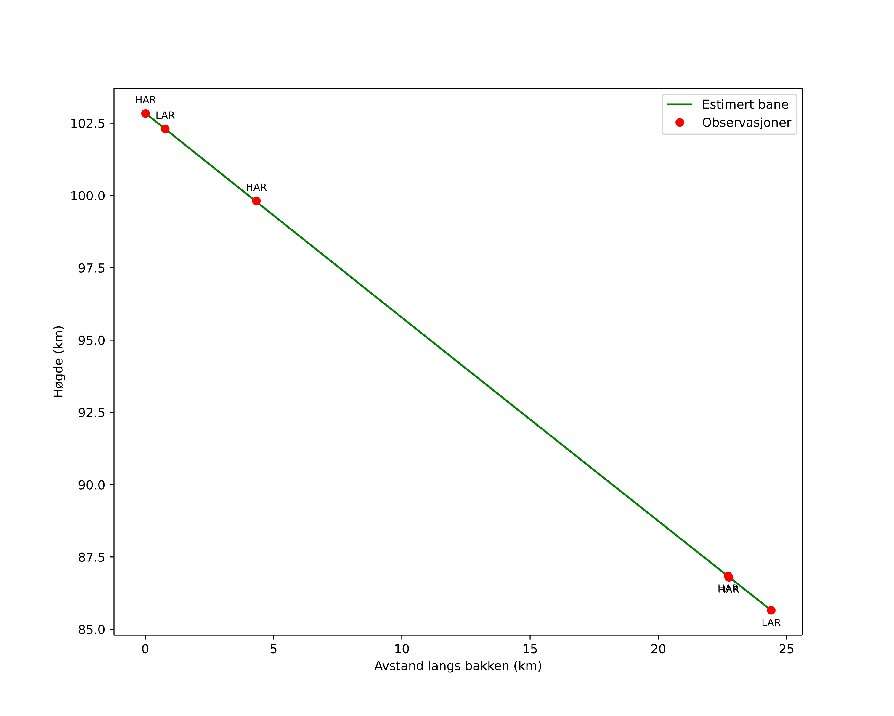
height profile
Meteorens atmosfæriske bane:
Starthøgde: 102,8 km
Slutthøgde: 85,7 km
Startposisjon: 58,683N 10,682E
Sluttposisjon: 58,857N 10,425E
Retning: 322,8°
Fallvinkel: 35,0°
Inngangshastighet: 45,7 km/s
Radiantens rektascensjon: 06:43 (100,9°)
Radiantens deklinasjon: 7,8°
Meteorsverm: Monocerotidene
Meteoroidens baneelement:
Perihelavstand: 0,188 AU
Eksentrisitet: 1,030
Inklinasjon: 38,3°
Knutelengde: 79,8°
Perihelargument: 126,5°
Midlere anomali: -2,0°
Epoke: 2025 DEC 11 22:38:51
orbit plot

Ikke-interaktivt plott | Interaktivt plott

position vs time
speed and acceleration

Harestua (HAR) cam3


gnomonic
Videoer
• Gnomonisk
• Gnomonisk med koordinater
• Original
• Original med koordinater
Bilder
• Gnomonisk
• Gnomonisk med koordinater
• Original
• Original med koordinater
Tekstfiler
• Deteksjon
• Observasjon
• Koordinater
• Logg
Lysstyrke

Harestua (HAR) cam4


gnomonic
Videoer
• Gnomonisk
• Gnomonisk med koordinater
• Original
• Original med koordinater
Bilder
• Gnomonisk
• Gnomonisk med koordinater
• Original
• Original med koordinater
Tekstfiler
• Deteksjon
• Observasjon
• Koordinater
• Logg
Lysstyrke

Larvik (LAR) cam7


gnomonic
Videoer
• Gnomonisk
• Gnomonisk med koordinater
• Original
• Original med koordinater
Bilder
• Gnomonisk
• Gnomonisk med koordinater
• Original
• Original med koordinater
Tekstfiler
• Deteksjon
• Observasjon
• Koordinater
• Logg
Lysstyrke