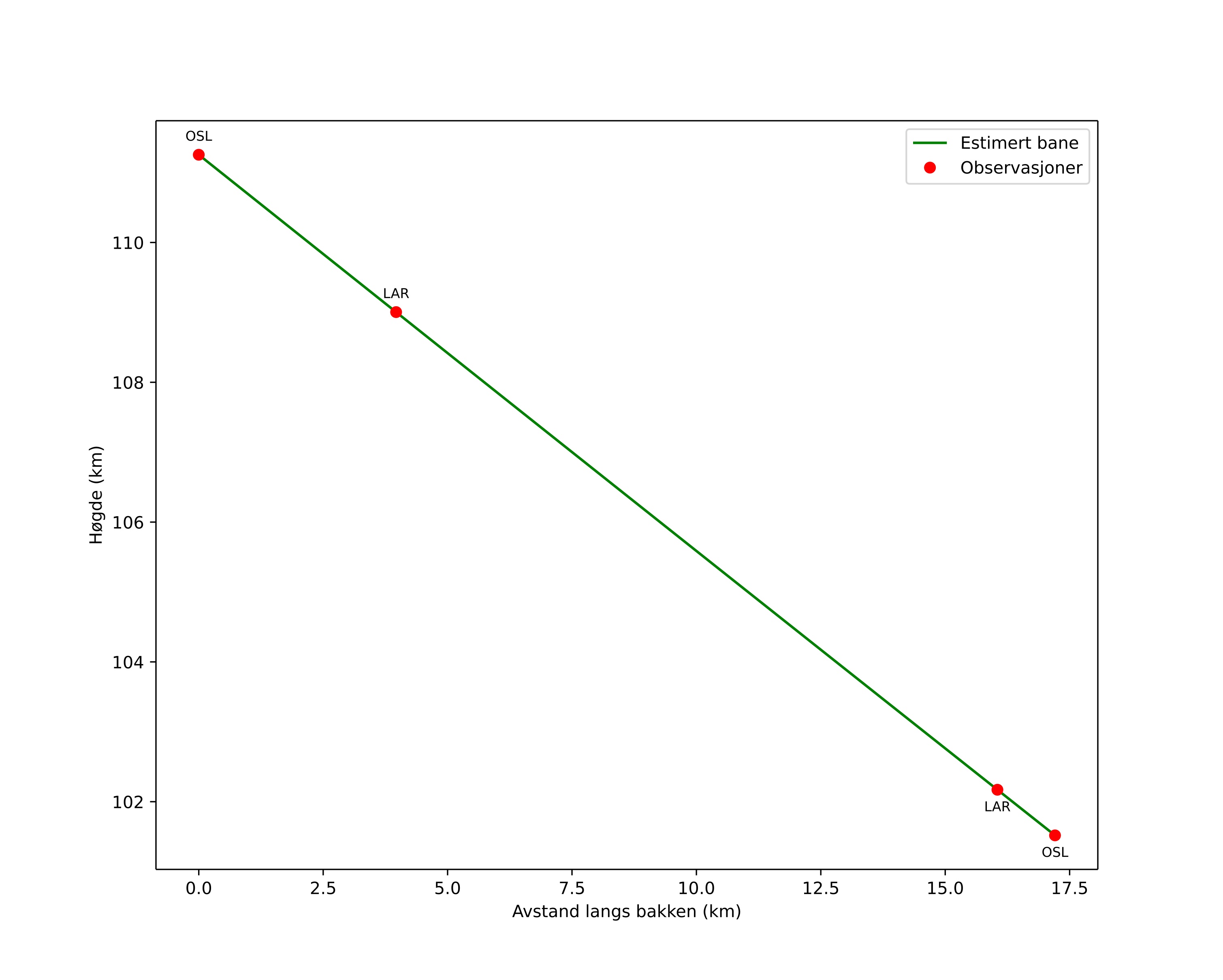
Atmosférická dráha meteoru:
| Počátečnà výška: | 111,3 km |
| Konečná výška: | 101,5 km |
| Počátečnà poloha: | 59,827N 12,056E |
| Konečná poloha: | 59,897N 11,782E |
| Směr: | 297,3° |
| Sklon: | 29,7° |
| VstupnĂ rychlost: | 61,7 km/s |
| Rektascenze radiantu: | 12:39 (189,8°) |
| Deklinace radiantu: | 12,8° |
| MeteorickĂ˝ roj: | sporadickĂ˝ |
|
Elementy dráhy meteoroidu:
| Vzdálenost v periheliu: | 0,708 AU |
| Excentricita: | 0,478 |
| Sklon dráhy: | 148,2° |
| Délka vzestupného uzlu: | 260,0° |
| Argument perihelia: | 97,5° |
| Střednà anomálie: | 32,6° |
| Epocha: | 2025 DEC 12 02:58:30 |
|