Atmosférická dráha meteoru:
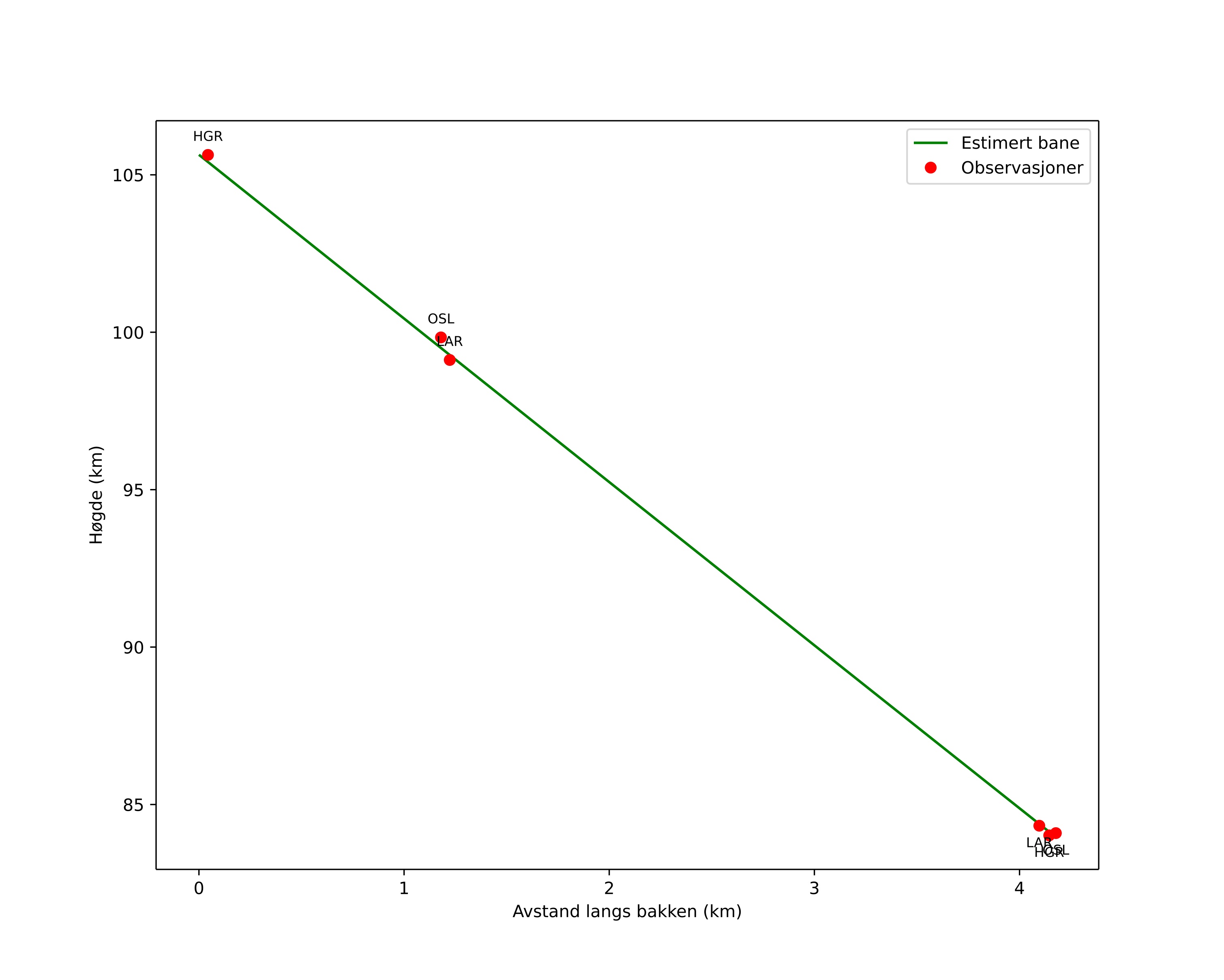
| Počátečnà výška: | 105,6 km |
| Konečná výška: | 84,0 km |
| Počátečnà poloha: | 60,917N 10,579E |
| Konečná poloha: | 60,942N 10,521E |
| Směr: | 311,7° |
| Sklon: | 79,1° |
| VstupnĂ rychlost: | 48,2 km/s |
| Rektascenze radiantu: | 09:58 (149,7°) |
| Deklinace radiantu: | 52,7° |
| MeteorickĂ˝ roj: | sporadickĂ˝ |
|
Elementy dráhy meteoroidu:
| Vzdálenost v periheliu: | 0,509 AU |
| Excentricita: | 0,751 |
| Sklon dráhy: | 87,5° |
| Délka vzestupného uzlu: | 260,0° |
| Argument perihelia: | 277,2° |
| Střednà anomálie: | 344,8° |
| Epocha: | 2025 DEC 12 03:01:22 |
|