🇳🇴 🇬🇧 🇩🇪 🇨🇿 🇫🇮

Meteor over Sarpsborg 2025-12-12 03:30:28 UTC

KML-fil  |  Interaktivt kart

Kartet viser peilingene for meteoren. De lysere linjene viser retningene fra observasjonsstedene for meteorens tilsynekomst, og de mørkere linjene viser hvor den sist kunne sees. Den blå pila viser meteorens synlige ferd.

static map
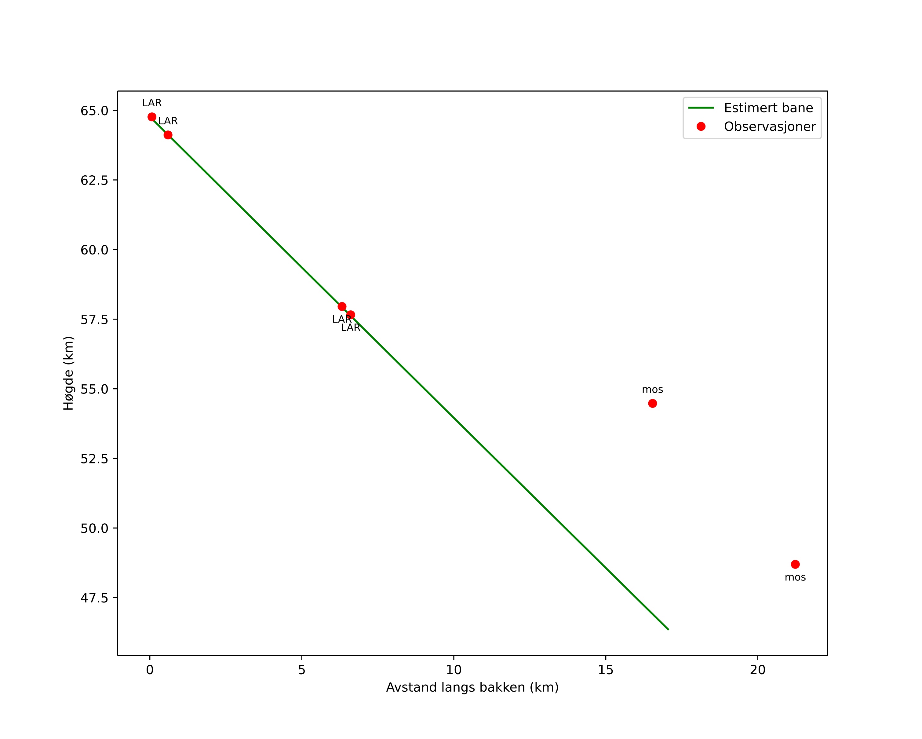
height profile
Meteorens atmosfæriske bane:
Starthøgde: 64,8 km
Slutthøgde: 46,3 km
Startposisjon: 59,210N 10,839E
Sluttposisjon: 59,291N 11,095E
Retning: 58,3°
Fallvinkel: 47,3°
Inngangshastighet: 23,5 km/s
Radiantens rektascensjon: 06:47 (101,9°)
Radiantens deklinasjon: 24,0°
Meteorsverm: sporadisk
Meteoroidens baneelement:
Perihelavstand: 0,344 AU
Eksentrisitet: 0,653
Inklinasjon: 0,9°
Knutelengde: 259,8°
Perihelargument: 310,6°
Midlere anomali: 307,9°
Epoke: 2025 DEC 12 03:30:28
orbit plot

Ikke-interaktivt plott | Interaktivt plott

position vs time
speed and acceleration

Larvik (LAR) cam6


gnomonic
Videoer
• Gnomonisk
• Gnomonisk med koordinater
• Original
• Original med koordinater
Bilder
• Gnomonisk
• Gnomonisk med koordinater
• Original
• Original med koordinater
Tekstfiler
• Deteksjon
• Observasjon
• Koordinater
• Logg
Lysstyrke

Larvik (LAR) cam7


gnomonic
Videoer
• Gnomonisk
• Gnomonisk med koordinater
• Original
• Original med koordinater
Bilder
• Gnomonisk
• Gnomonisk med koordinater
• Original
• Original med koordinater
Tekstfiler
• Deteksjon
• Observasjon
• Koordinater
• Logg
Lysstyrke

Moss (mos) cam7


gnomonic
Videoer
• Gnomonisk
• Gnomonisk med koordinater
• Original
• Original med koordinater
Bilder
• Gnomonisk
• Gnomonisk med koordinater
• Original
• Original med koordinater
Tekstfiler
• Deteksjon
• Observasjon
• Koordinater
• Logg
Lysstyrke