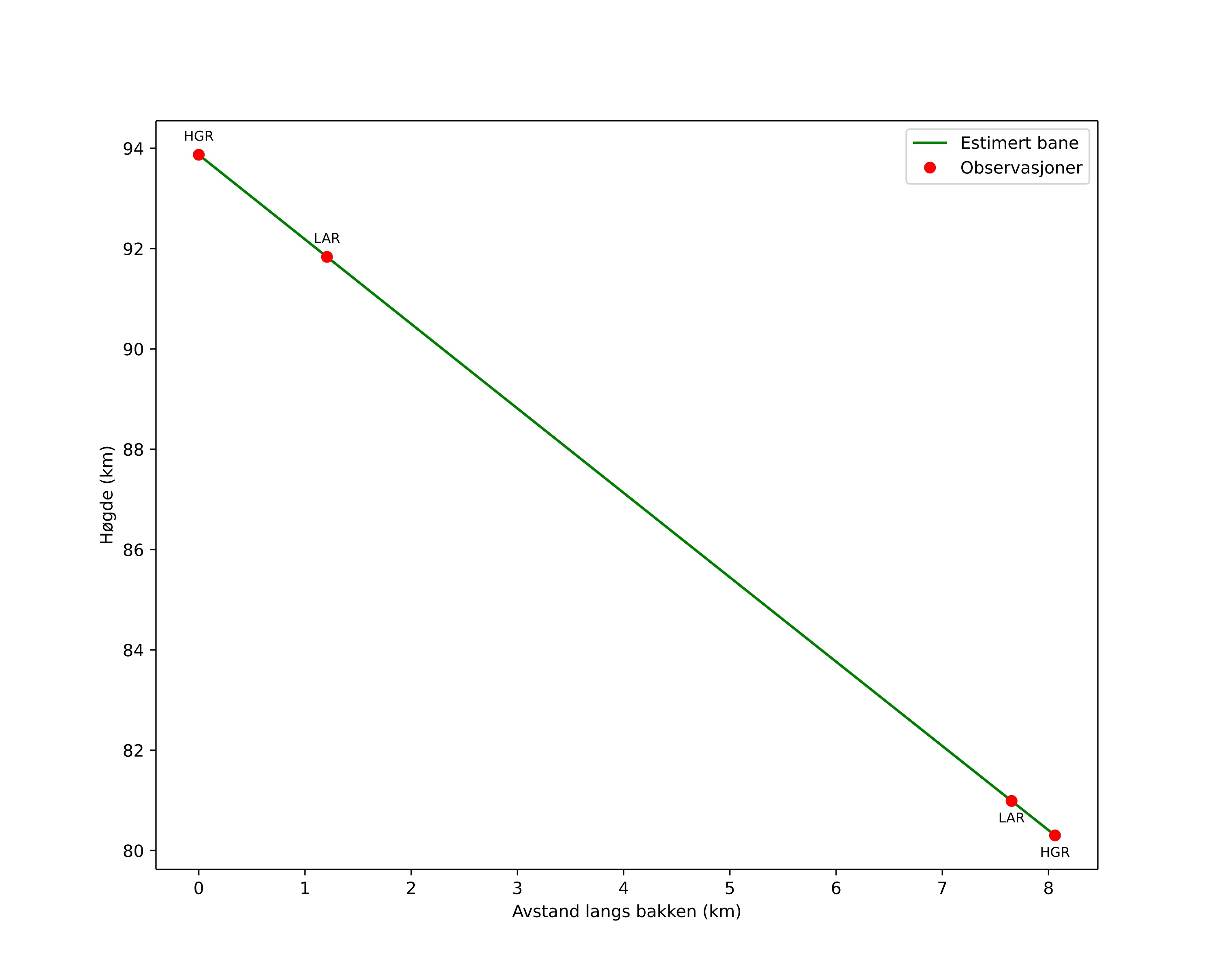
Atmosférická dráha meteoru:
| Počátečnà výška: | 93,9 km |
| Konečná výška: | 80,3 km |
| Počátečnà poloha: | 60,397N 6,022E |
| Konečná poloha: | 60,447N 6,127E |
| Směr: | 45,4° |
| Sklon: | 59,3° |
| VstupnĂ rychlost: | 31,6 km/s |
| Rektascenze radiantu: | 07:33 (113,4°) |
| Deklinace radiantu: | 33,7° |
| MeteorickĂ˝ roj: | Geminidy |
|
Elementy dráhy meteoroidu:
| Vzdálenost v periheliu: | 0,172 AU |
| Excentricita: | 0,832 |
| Sklon dráhy: | 21,1° |
| Délka vzestupného uzlu: | 260,0° |
| Argument perihelia: | 324,8° |
| Střednà anomálie: | 320,3° |
| Epocha: | 2025 DEC 12 03:35:45 |
|