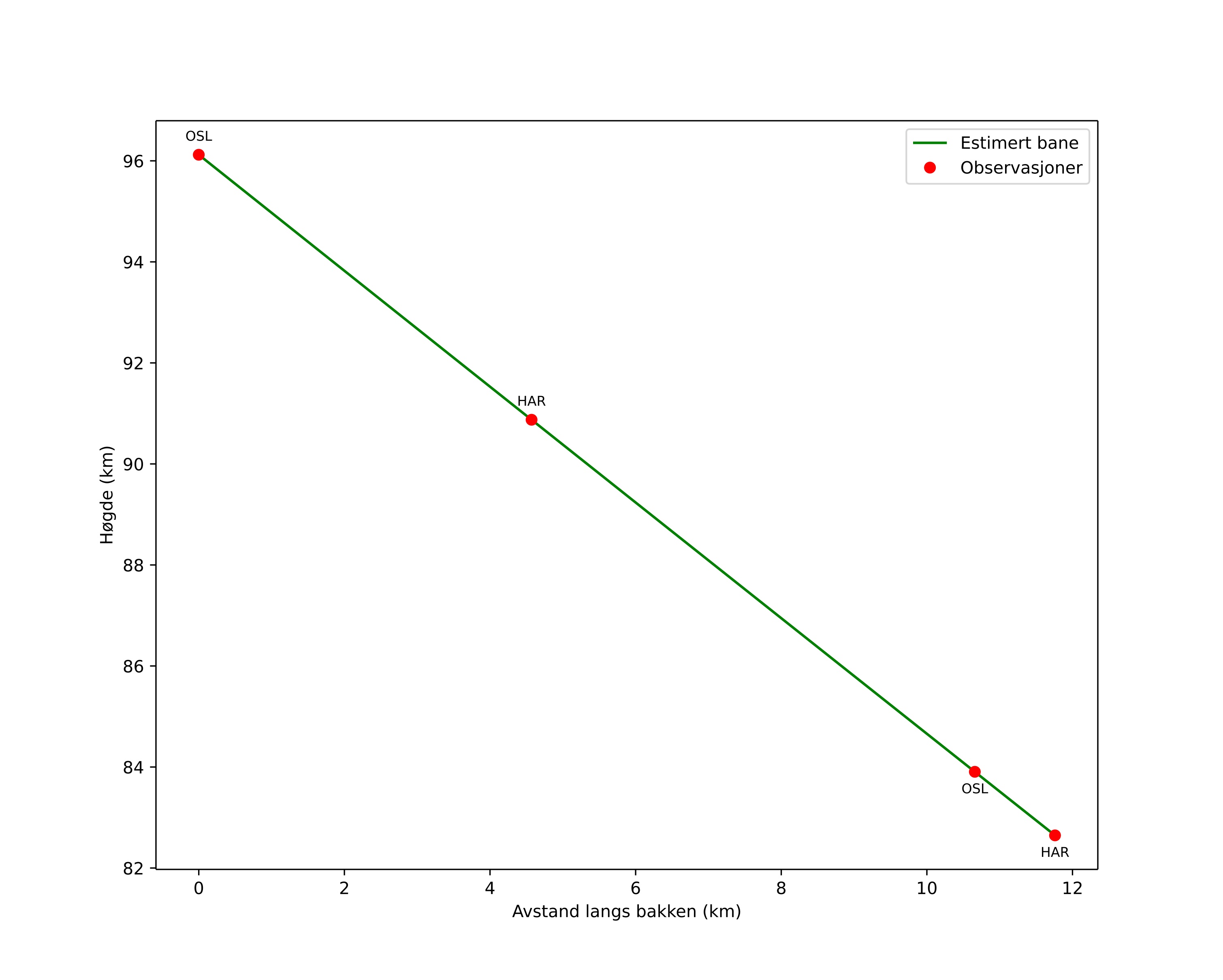
Atmosférická dráha meteoru:
| Počátečnà výška: | 96,1 km |
| Konečná výška: | 82,6 km |
| Počátečnà poloha: | 60,812N 7,976E |
| Konečná poloha: | 60,831N 8,190E |
| Směr: | 79,5° |
| Sklon: | 48,9° |
| VstupnĂ rychlost: | 51,3 km/s |
| Rektascenze radiantu: | 06:59 (105,0°) |
| Deklinace radiantu: | 36,3° |
| MeteorickĂ˝ roj: | sporadickĂ˝ |
|
Elementy dráhy meteoroidu:
| Vzdálenost v periheliu: | 0,143 AU |
| Excentricita: | 1,086 |
| Sklon dráhy: | 45,0° |
| Délka vzestupného uzlu: | 260,0° |
| Argument perihelia: | 309,9° |
| Střednà anomálie: | -13,3° |
| Epocha: | 2025 DEC 12 04:42:27 |
|