Atmosférická dráha meteoru:
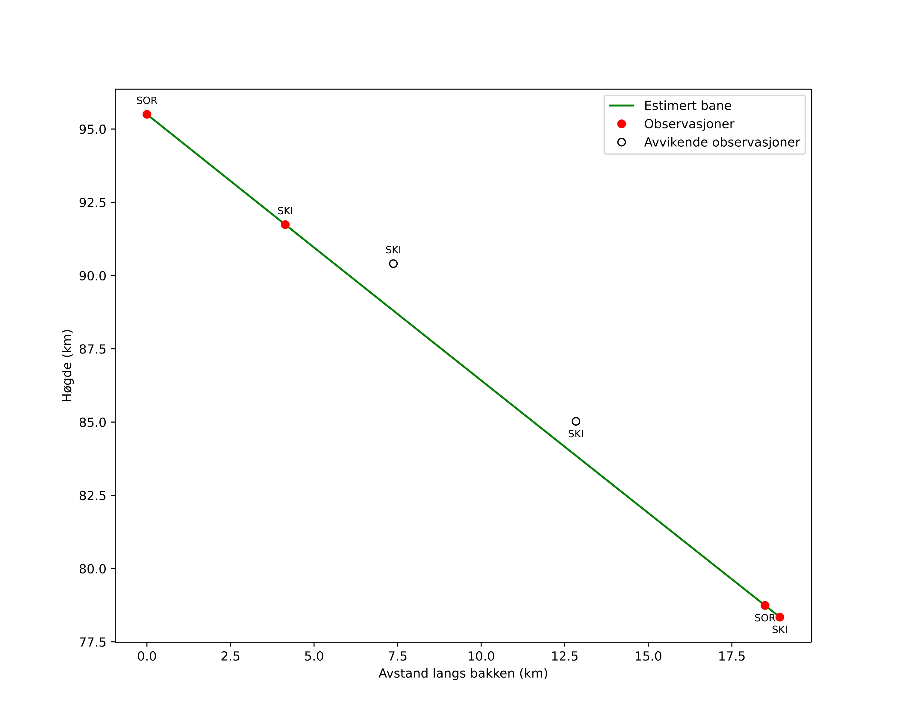
| Počátečnà výška: | 95,5 km |
| Konečná výška: | 78,3 km |
| Počátečnà poloha: | 69,508N 17,980E |
| Konečná poloha: | 69,572N 17,529E |
| Směr: | 292,2° |
| Sklon: | 42,2° |
| VstupnĂ rychlost: | 23,1 km/s |
| Rektascenze radiantu: | 04:40 (70,2°) |
| Deklinace radiantu: | 29,1° |
| MeteorickĂ˝ roj: | sporadickĂ˝ |
|
Elementy dráhy meteoroidu:
| Vzdálenost v periheliu: | 0,679 AU |
| Excentricita: | 0,765 |
| Sklon dráhy: | 4,2° |
| Délka vzestupného uzlu: | 260,6° |
| Argument perihelia: | 253,6° |
| Střednà anomálie: | 351,7° |
| Epocha: | 2025 DEC 12 18:23:33 |
|