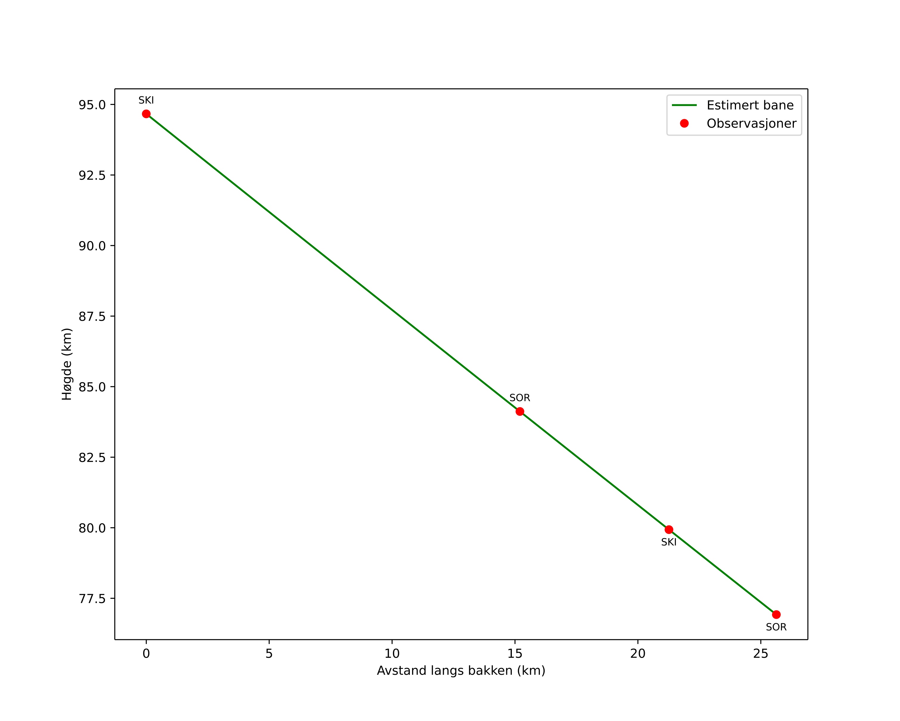
Atmosférická dráha meteoru:
| Počátečnà výška: | 94,7 km |
| Konečná výška: | 76,9 km |
| Počátečnà poloha: | 69,117N 15,206E |
| Konečná poloha: | 69,175N 14,579E |
| Směr: | 285,0° |
| Sklon: | 34,8° |
| VstupnĂ rychlost: | 27,4 km/s |
| Rektascenze radiantu: | 05:29 (82,4°) |
| Deklinace radiantu: | 24,8° |
| MeteorickĂ˝ roj: | sporadickĂ˝ |
|
Elementy dráhy meteoroidu:
| Vzdálenost v periheliu: | 0,514 AU |
| Excentricita: | 0,812 |
| Sklon dráhy: | 1,3° |
| Délka vzestupného uzlu: | 260,5° |
| Argument perihelia: | 273,9° |
| Střednà anomálie: | 350,7° |
| Epocha: | 2025 DEC 12 18:47:29 |
|