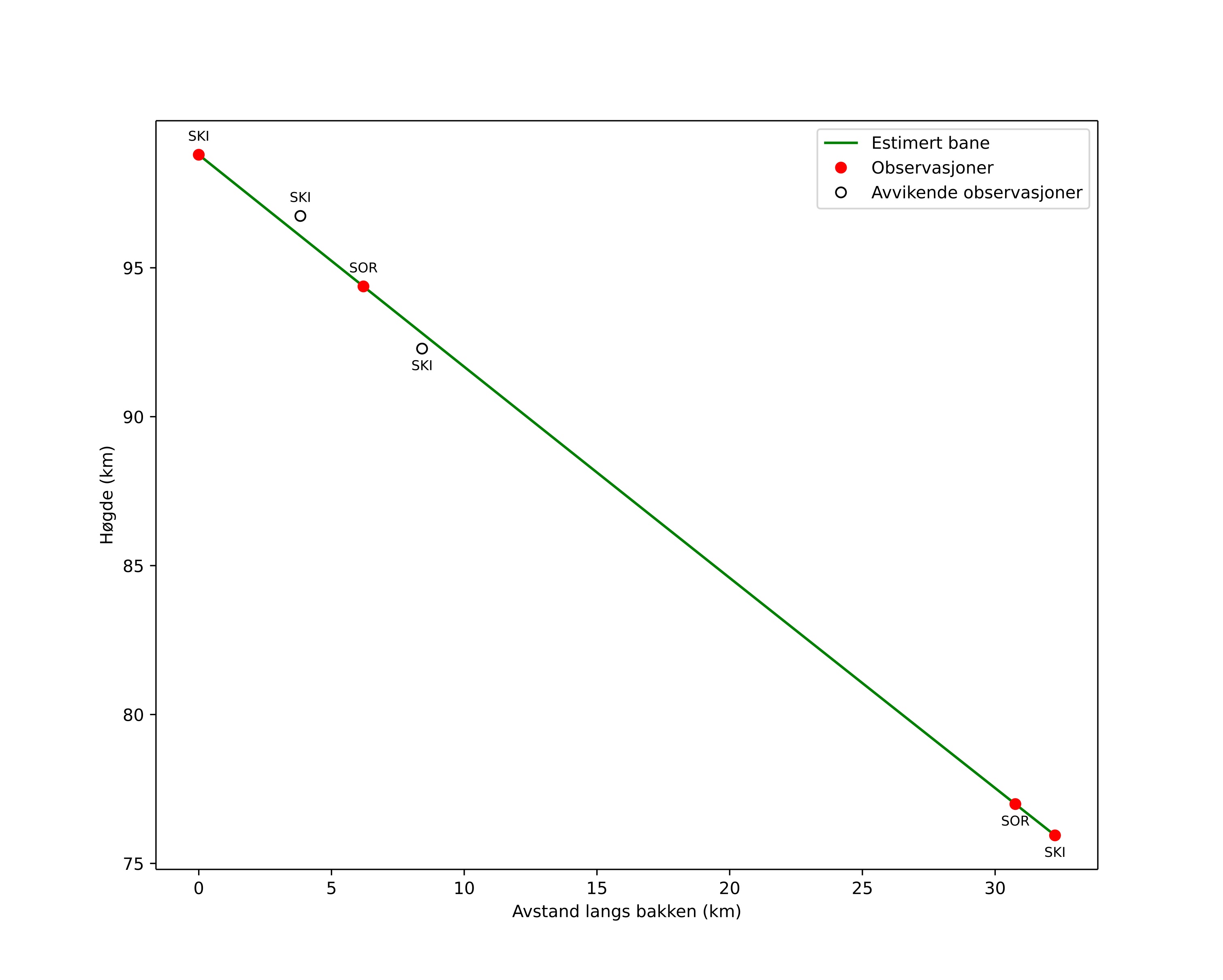
Atmosférická dráha meteoru:
| Počátečnà výška: | 98,8 km |
| Konečná výška: | 75,9 km |
| Počátečnà poloha: | 69,507N 17,827E |
| Konečná poloha: | 69,464N 17,008E |
| Směr: | 261,8° |
| Sklon: | 35,4° |
| VstupnĂ rychlost: | 36,6 km/s |
| Rektascenze radiantu: | 07:29 (112,3°) |
| Deklinace radiantu: | 34,5° |
| MeteorickĂ˝ roj: | Geminidy |
|
Elementy dráhy meteoroidu:
| Vzdálenost v periheliu: | 0,151 AU |
| Excentricita: | 0,892 |
| Sklon dráhy: | 27,8° |
| Délka vzestupného uzlu: | 260,7° |
| Argument perihelia: | 322,7° |
| Střednà anomálie: | 337,6° |
| Epocha: | 2025 DEC 12 19:17:08 |
|