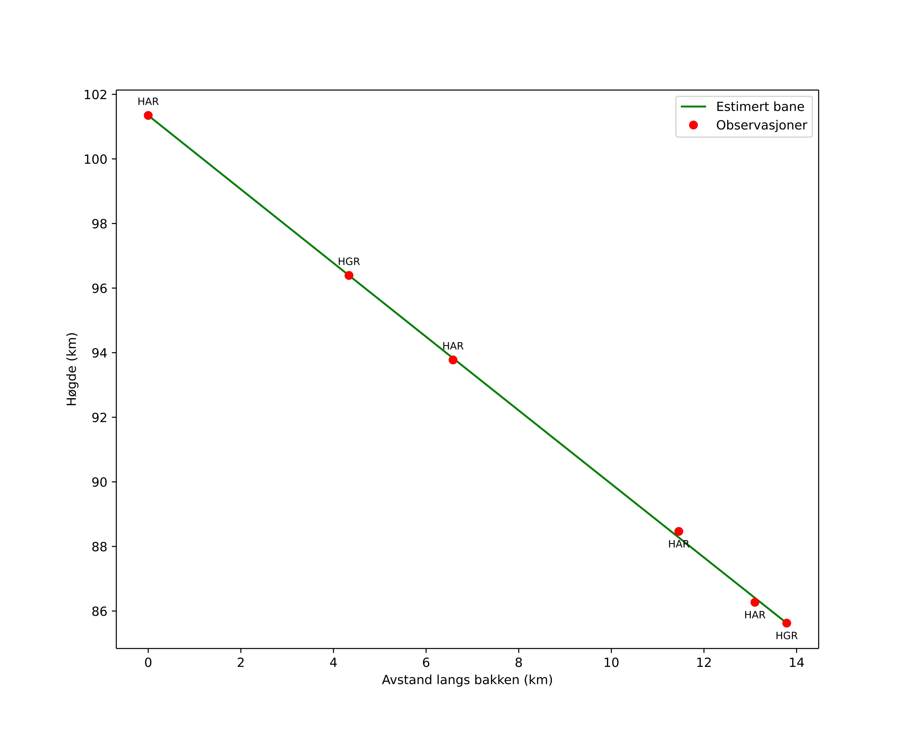
Atmosférická dráha meteoru:
| Počátečnà výška: | 101,3 km |
| Konečná výška: | 85,6 km |
| Počátečnà poloha: | 61,008N 10,929E |
| Konečná poloha: | 60,904N 11,067E |
| Směr: | 147,2° |
| Sklon: | 48,7° |
| VstupnĂ rychlost: | 37,3 km/s |
| Rektascenze radiantu: | 16:21 (245,4°) |
| Deklinace radiantu: | 66,9° |
| MeteorickĂ˝ roj: | sporadickĂ˝ |
|
Elementy dráhy meteoroidu:
| Vzdálenost v periheliu: | 0,984 AU |
| Excentricita: | 1,032 |
| Sklon dráhy: | 55,4° |
| Délka vzestupného uzlu: | 261,6° |
| Argument perihelia: | 181,8° |
| Střednà anomálie: | -0,0° |
| Epocha: | 2025 DEC 13 17:27:28 |
|