🇳🇴 🇬🇧 🇩🇪 🇨🇿 🇫🇮

Meteor over Bagn 2025-12-13 17:32:42 UTC

KML-fil  |  Interaktivt kart

Kartet viser peilingene for meteoren. De lysere linjene viser retningene fra observasjonsstedene for meteorens tilsynekomst, og de mørkere linjene viser hvor den sist kunne sees. Den blå pila viser meteorens synlige ferd.

static map
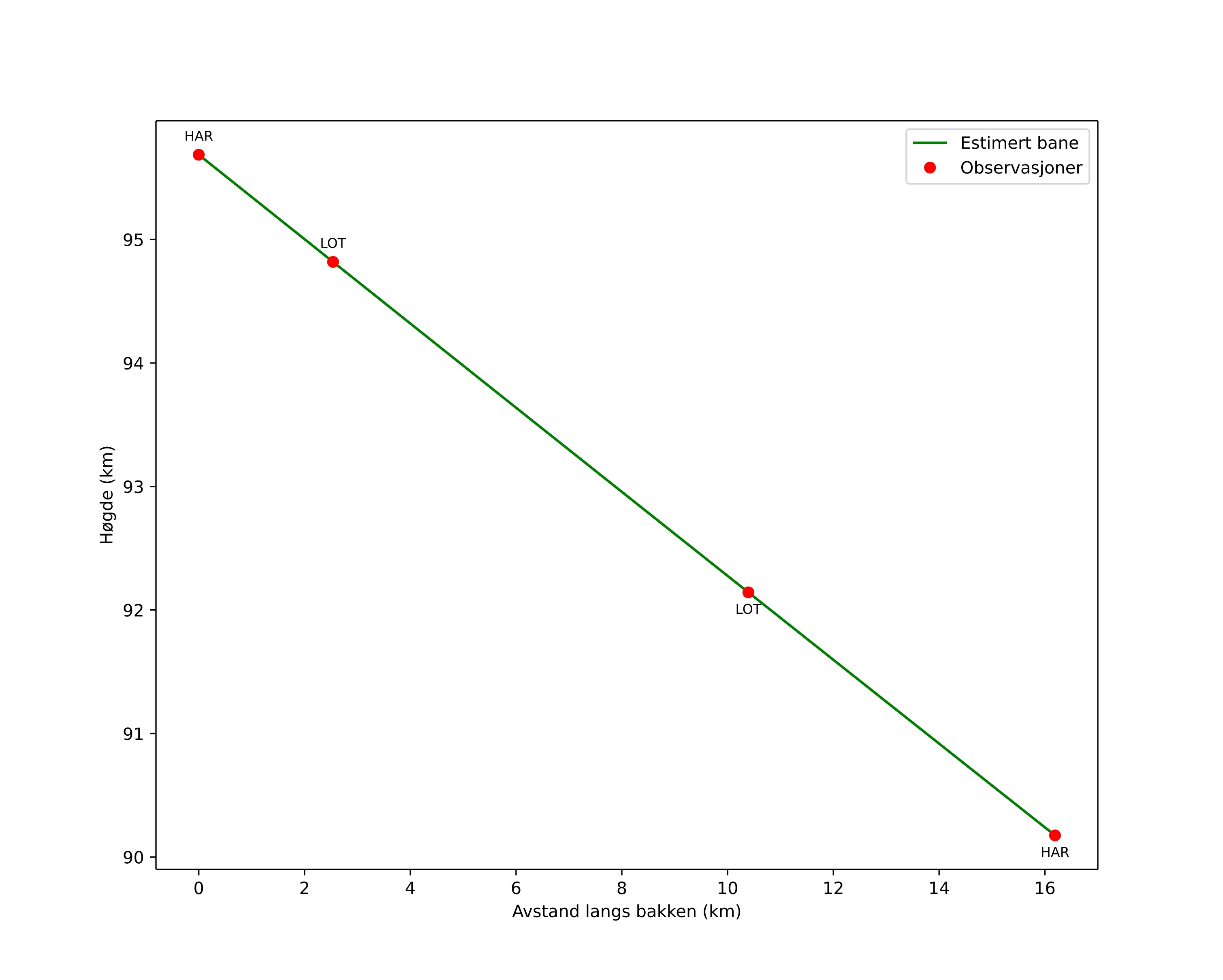
height profile
Meteorens atmosfæriske bane:
Starthøgde: 95,7 km
Slutthøgde: 90,2 km
Startposisjon: 60,970N 9,726E
Sluttposisjon: 60,877N 9,494E
Retning: 230,7°
Fallvinkel: 18,8°
Inngangshastighet: 36,3 km/s
Radiantens rektascensjon: 07:32 (113,1°)
Radiantens deklinasjon: 33,3°
Meteorsverm: Geminidene
Meteoroidens baneelement:
Perihelavstand: 0,148 AU
Eksentrisitet: 0,892
Inklinasjon: 25,3°
Knutelengde: 261,6°
Perihelargument: 323,4°
Midlere anomali: 336,8°
Epoke: 2025 DEC 13 17:32:42
orbit plot

Ikke-interaktivt plott | Interaktivt plott

position vs time
speed and acceleration

Harestua (HAR) cam5


gnomonic
Videoer
• Gnomonisk
• Gnomonisk med koordinater
• Original
• Original med koordinater
Bilder
• Gnomonisk
• Gnomonisk med koordinater
• Original
• Original med koordinater
Tekstfiler
• Deteksjon
• Observasjon
• Koordinater
• Logg
Lysstyrke

Loten (LOT) cam5


gnomonic
Videoer
• Gnomonisk
• Gnomonisk med koordinater
• Original
• Original med koordinater
Bilder
• Gnomonisk
• Gnomonisk med koordinater
• Original
• Original med koordinater
Tekstfiler
• Deteksjon
• Observasjon
• Koordinater
• Logg
Lysstyrke