🇳🇴 🇬🇧 🇩🇪 🇨🇿 🇫🇮

Meteor over Torsby 2025-12-13 17:55:16 UTC

KML-fil  |  Interaktivt kart

Kartet viser peilingene for meteoren. De lysere linjene viser retningene fra observasjonsstedene for meteorens tilsynekomst, og de mørkere linjene viser hvor den sist kunne sees. Den blå pila viser meteorens synlige ferd.

static map
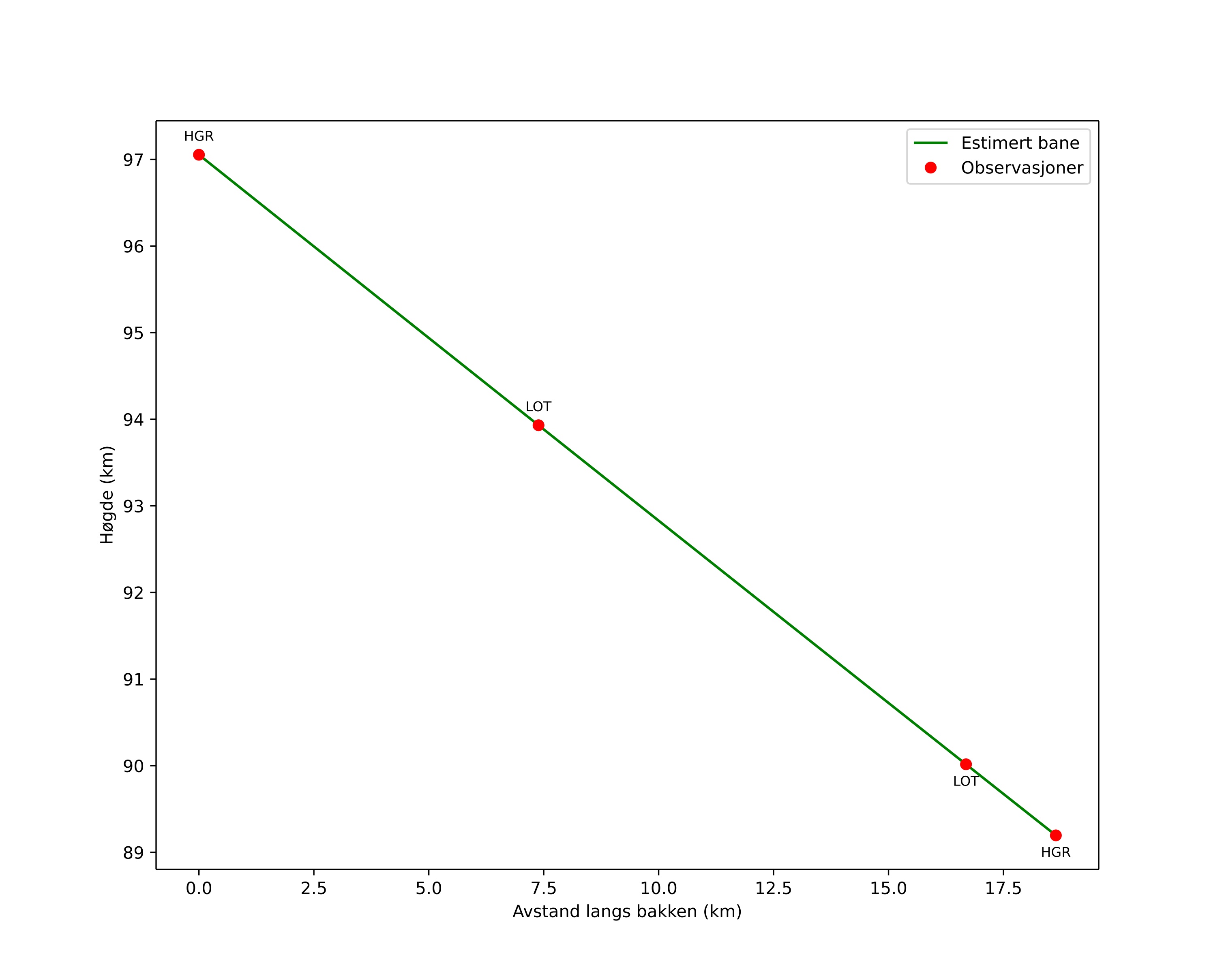
height profile
Meteorens atmosfæriske bane:
Starthøgde: 97,1 km
Slutthøgde: 89,2 km
Startposisjon: 60,433N 13,482E
Sluttposisjon: 60,353N 13,183E
Retning: 242,0°
Fallvinkel: 23,0°
Inngangshastighet: 39,6 km/s
Radiantens rektascensjon: 07:12 (108,2°)
Radiantens deklinasjon: 32,4°
Meteorsverm: Geminidene
Meteoroidens baneelement:
Perihelavstand: 0,154 AU
Eksentrisitet: 0,938
Inklinasjon: 23,4°
Knutelengde: 261,6°
Perihelargument: 318,1°
Midlere anomali: 351,1°
Epoke: 2025 DEC 13 17:55:16
orbit plot

Ikke-interaktivt plott | Interaktivt plott

position vs time
speed and acceleration

Hagar (HGR) cam3


gnomonic
Videoer
• Gnomonisk
• Gnomonisk med koordinater
• Original
• Original med koordinater
Bilder
• Gnomonisk
• Gnomonisk med koordinater
• Original
• Original med koordinater
Tekstfiler
• Deteksjon
• Observasjon
• Koordinater
• Logg
Lysstyrke

Loten (LOT) cam2


gnomonic
Videoer
• Gnomonisk
• Gnomonisk med koordinater
• Original
• Original med koordinater
Bilder
• Gnomonisk
• Gnomonisk med koordinater
• Original
• Original med koordinater
Tekstfiler
• Deteksjon
• Observasjon
• Koordinater
• Logg
Lysstyrke