🇳🇴 🇬🇧 🇩🇪 🇨🇿 🇫🇮

Meteor over Grua 2025-12-13 17:58:16 UTC

KML-fil  |  Interaktivt kart

Kartet viser peilingene for meteoren. De lysere linjene viser retningene fra observasjonsstedene for meteorens tilsynekomst, og de mørkere linjene viser hvor den sist kunne sees. Den blå pila viser meteorens synlige ferd.

static map
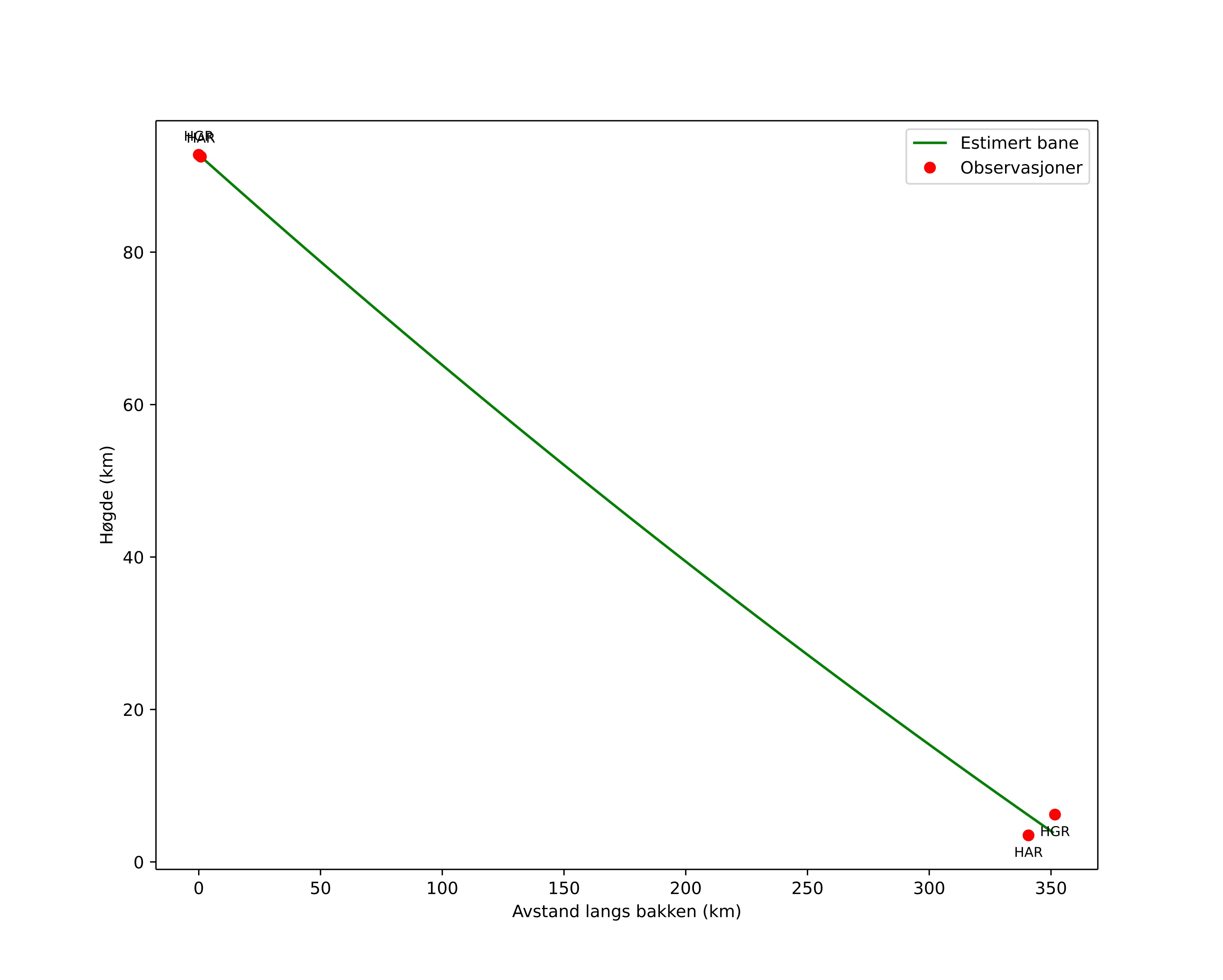
height profile
wind profile
Meteorens atmosfæriske bane:
Starthøgde: 92,8 km
Slutthøgde: 3,8 km
Startposisjon: 57,229N 12,938E
Sluttposisjon: 60,175N 10,751E
Retning: 339,8°
Fallvinkel: 14,2°
Inngangshastighet: 49,4 km/s
Radiantens rektascensjon: 01:40 (25,1°)
Radiantens deklinasjon: -17,9°
Meteorsverm: sporadisk
Meteoroidens baneelement:
Perihelavstand: 0,950 AU
Eksentrisitet: 5,065
Inklinasjon: 17,0°
Knutelengde: 81,6°
Perihelargument: 16,6°
Midlere anomali: -56,7°
Epoke: 2025 DEC 13 17:58:16
orbit plot

Ikke-interaktivt plott | Interaktivt plott

position vs time
speed and acceleration

Hagar (HGR) cam4


gnomonic
Videoer
• Gnomonisk
• Gnomonisk med koordinater
• Original
• Original med koordinater
Bilder
• Gnomonisk
• Gnomonisk med koordinater
• Original
• Original med koordinater
Tekstfiler
• Deteksjon
• Observasjon
• Koordinater
• Logg
Lysstyrke

Harestua (HAR) cam3


gnomonic
Videoer
• Gnomonisk
• Gnomonisk med koordinater
• Original
• Original med koordinater
Bilder
• Gnomonisk
• Gnomonisk med koordinater
• Original
• Original med koordinater
Tekstfiler
• Deteksjon
• Observasjon
• Koordinater
• Logg
Lysstyrke