🇳🇴 🇬🇧 🇩🇪 🇨🇿 🇫🇮

Meteor, poloha: Grua 2025-12-13 18:28:56 UTC

Soubor KML  |  InteraktivnĂ­ mapa

Mapa zobrazuje dráhy meteoru. Světlejší čáry ukazují směry od pozorovacích stanic při objevení se meteoru a tmavší čáry, kde byl naposledy viděn. Modrá šipka značí viditelnou dráhu meteoru.

static map
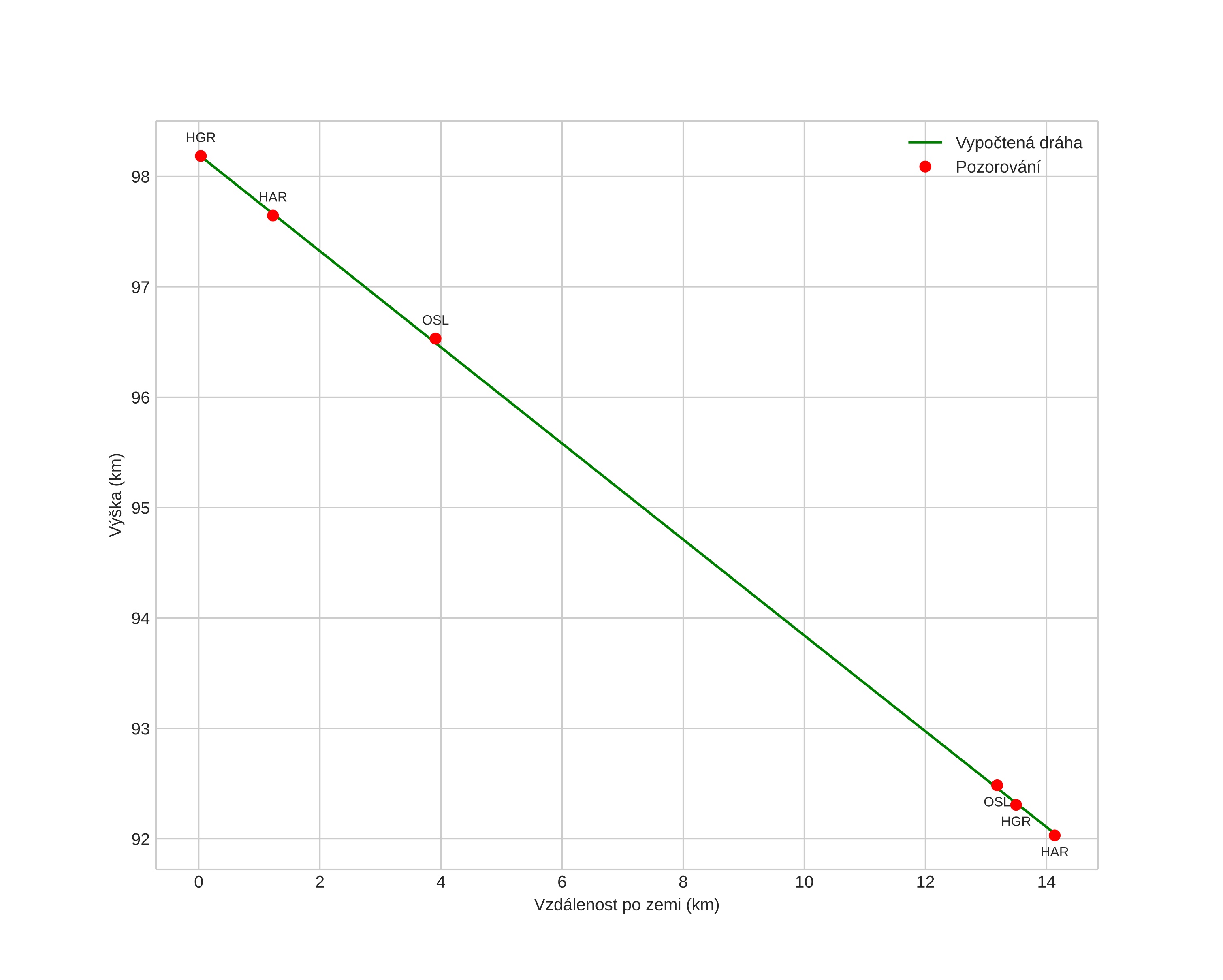
height profile
Atmosférická dráha meteoru:
Počáteční výška: 98,2 km
Konečná výška: 92,0 km
Počáteční poloha: 60,383N 10,940E
Konečná poloha: 60,326N 10,710E
Směr: 243,4°
Sklon: 23,7°
VstupnĂ­ rychlost: 37,0 km/s
Rektascenze radiantu: 07:29 (112,4°)
Deklinace radiantu: 32,2°
MeteorickĂ˝ roj: Geminidy
Elementy dráhy meteoroidu:
Vzdálenost v periheliu: 0,140 AU
Excentricita: 0,904
Sklon dráhy: 23,6°
Délka vzestupného uzlu: 261,6°
Argument perihelia: 323,8°
Střední anomálie: 339,3°
Epocha: 2025 DEC 13 18:28:56
orbit plot

NeinteraktivnĂ­ graf | InteraktivnĂ­ graf

position vs time
speed and acceleration

Hagar (HGR) cam6


gnomonic
Videa
• Gnomonická
• Gnomonická se souřadnicemi
• Původní
• Původní se souřadnicemi
Obrázky
• Gnomonická
• Gnomonická se souřadnicemi
• Původní
• Původní se souřadnicemi
Textové soubory
• Detekce
• Pozorování
• Souřadnice
• Protokol
Jasnost

Harestua (HAR) cam6


gnomonic
Videa
• Gnomonická
• Gnomonická se souřadnicemi
• Původní
• Původní se souřadnicemi
Obrázky
• Gnomonická
• Gnomonická se souřadnicemi
• Původní
• Původní se souřadnicemi
Textové soubory
• Detekce
• Pozorování
• Souřadnice
• Protokol
Jasnost

Voksenlia (OSL) cam6


gnomonic
Videa
• Gnomonická
• Gnomonická se souřadnicemi
• Původní
• Původní se souřadnicemi
Obrázky
• Gnomonická
• Gnomonická se souřadnicemi
• Původní
• Původní se souřadnicemi
Textové soubory
• Detekce
• Pozorování
• Souřadnice
• Protokol
Jasnost