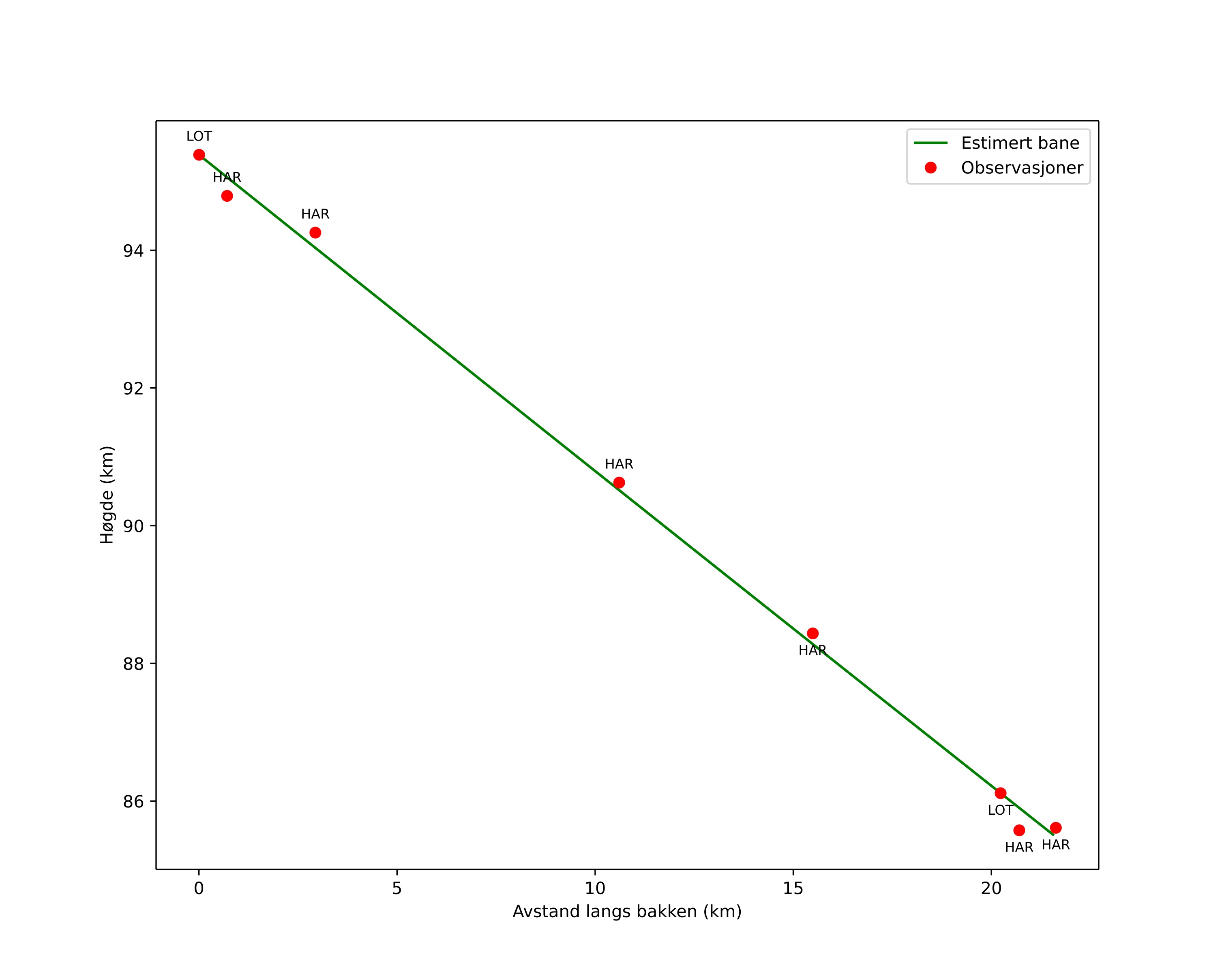
Atmosférická dráha meteoru:
| Počátečnà výška: | 95,4 km |
| Konečná výška: | 85,5 km |
| Počátečnà poloha: | 61,007N 12,386E |
| Konečná poloha: | 60,925N 12,023E |
| Směr: | 245,4° |
| Sklon: | 24,6° |
| VstupnĂ rychlost: | 35,0 km/s |
| Rektascenze radiantu: | 07:32 (113,2°) |
| Deklinace radiantu: | 31,8° |
| MeteorickĂ˝ roj: | Geminidy |
|
Elementy dráhy meteoroidu:
| Vzdálenost v periheliu: | 0,148 AU |
| Excentricita: | 0,880 |
| Sklon dráhy: | 20,9° |
| Délka vzestupného uzlu: | 261,6° |
| Argument perihelia: | 324,6° |
| Střednà anomálie: | 332,4° |
| Epocha: | 2025 DEC 13 18:33:55 |
|