🇳🇴 🇬🇧 🇩🇪 🇨🇿 🇫🇮

Meteor over Säffle 2025-12-13 18:47:58 UTC

KML-fil  |  Interaktivt kart

Kartet viser peilingene for meteoren. De lysere linjene viser retningene fra observasjonsstedene for meteorens tilsynekomst, og de mørkere linjene viser hvor den sist kunne sees. Den blå pila viser meteorens synlige ferd.

static map
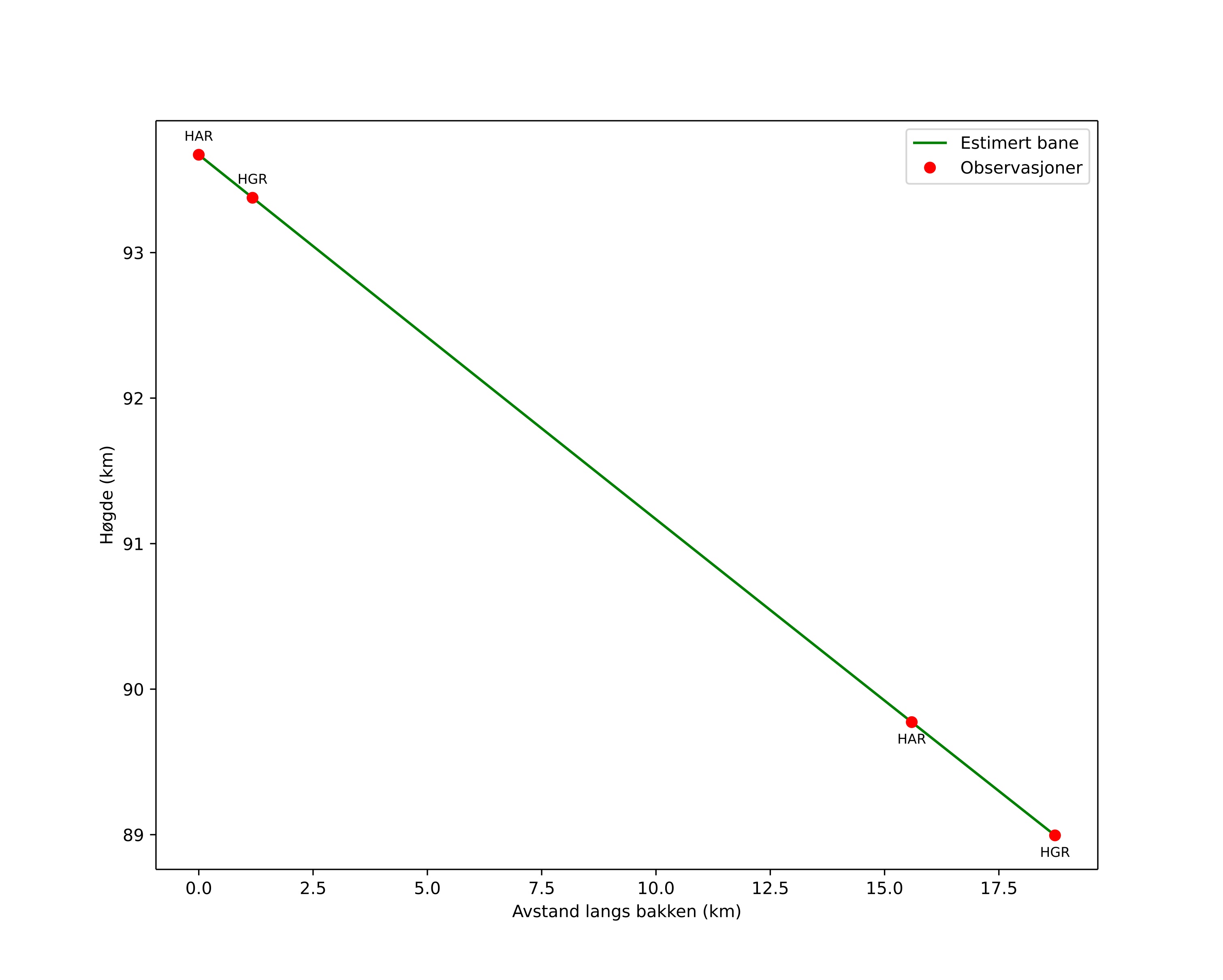
height profile
Meteorens atmosfæriske bane:
Starthøgde: 93,7 km
Slutthøgde: 89,0 km
Startposisjon: 59,283N 13,043E
Sluttposisjon: 59,149N 12,844E
Retning: 217,3°
Fallvinkel: 14,1°
Inngangshastighet: 31,9 km/s
Radiantens rektascensjon: 10:05 (151,5°)
Radiantens deklinasjon: 34,7°
Meteorsverm: sporadisk
Meteoroidens baneelement:
Perihelavstand: 0,095 AU
Eksentrisitet: 0,846
Inklinasjon: 59,3°
Knutelengde: 261,7°
Perihelargument: 346,2°
Midlere anomali: 259,9°
Epoke: 2025 DEC 13 18:47:58
orbit plot

Ikke-interaktivt plott | Interaktivt plott

position vs time
speed and acceleration

Hagar (HGR) cam4


gnomonic
Videoer
• Gnomonisk
• Gnomonisk med koordinater
• Original
• Original med koordinater
Bilder
• Gnomonisk
• Gnomonisk med koordinater
• Original
• Original med koordinater
Tekstfiler
• Deteksjon
• Observasjon
• Koordinater
• Logg
Lysstyrke

Harestua (HAR) cam3


gnomonic
Videoer
• Gnomonisk
• Gnomonisk med koordinater
• Original
• Original med koordinater
Bilder
• Gnomonisk
• Gnomonisk med koordinater
• Original
• Original med koordinater
Tekstfiler
• Deteksjon
• Observasjon
• Koordinater
• Logg
Lysstyrke