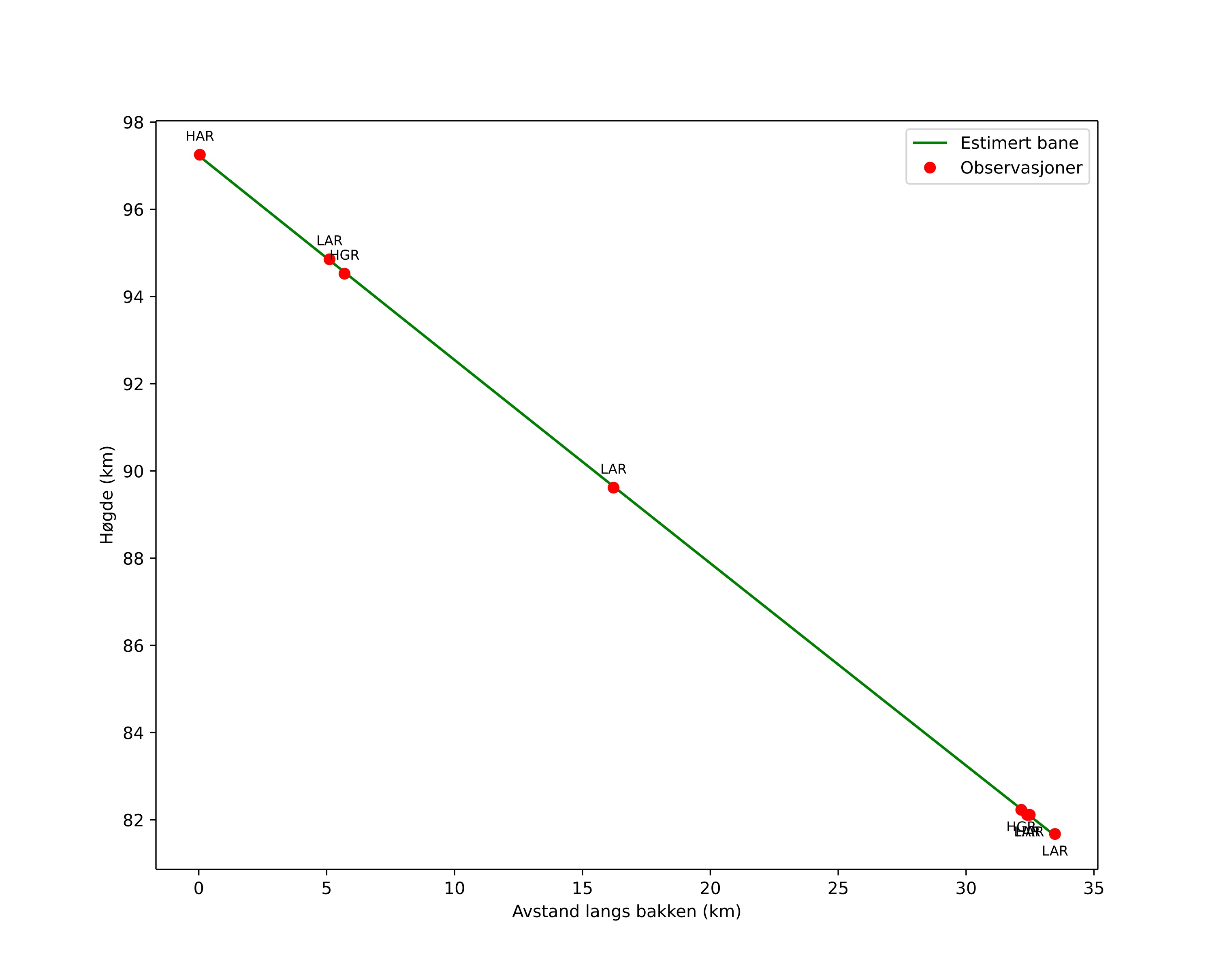
Atmosférická dráha meteoru:
| Počátečnà výška: | 97,2 km |
| Konečná výška: | 81,6 km |
| Počátečnà poloha: | 59,128N 9,353E |
| Konečná poloha: | 59,003N 8,820E |
| Směr: | 245,9° |
| Sklon: | 25,0° |
| VstupnĂ rychlost: | 36,4 km/s |
| Rektascenze radiantu: | 07:31 (112,8°) |
| Deklinace radiantu: | 32,3° |
| MeteorickĂ˝ roj: | Geminidy |
|
Elementy dráhy meteoroidu:
| Vzdálenost v periheliu: | 0,143 AU |
| Excentricita: | 0,896 |
| Sklon dráhy: | 23,2° |
| Délka vzestupného uzlu: | 261,7° |
| Argument perihelia: | 324,1° |
| Střednà anomálie: | 337,0° |
| Epocha: | 2025 DEC 13 18:52:30 |
|