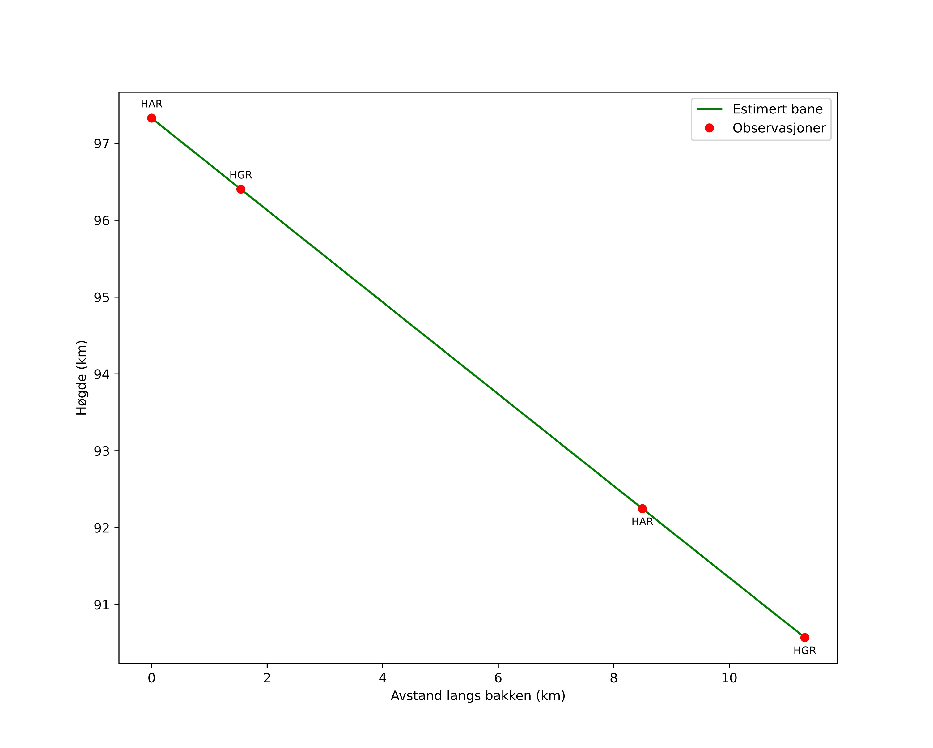
Atmosférická dráha meteoru:
| Počátečnà výška: | 97,3 km |
| Konečná výška: | 90,6 km |
| Počátečnà poloha: | 60,156N 9,778E |
| Konečná poloha: | 60,121N 9,586E |
| Směr: | 249,9° |
| Sklon: | 30,7° |
| VstupnĂ rychlost: | 35,5 km/s |
| Rektascenze radiantu: | 07:23 (110,9°) |
| Deklinace radiantu: | 35,0° |
| MeteorickĂ˝ roj: | Geminidy |
|
Elementy dráhy meteoroidu:
| Vzdálenost v periheliu: | 0,182 AU |
| Excentricita: | 0,874 |
| Sklon dráhy: | 24,8° |
| Délka vzestupného uzlu: | 261,7° |
| Argument perihelia: | 318,4° |
| Střednà anomálie: | 338,0° |
| Epocha: | 2025 DEC 13 19:10:29 |
|