Atmosférická dráha meteoru:
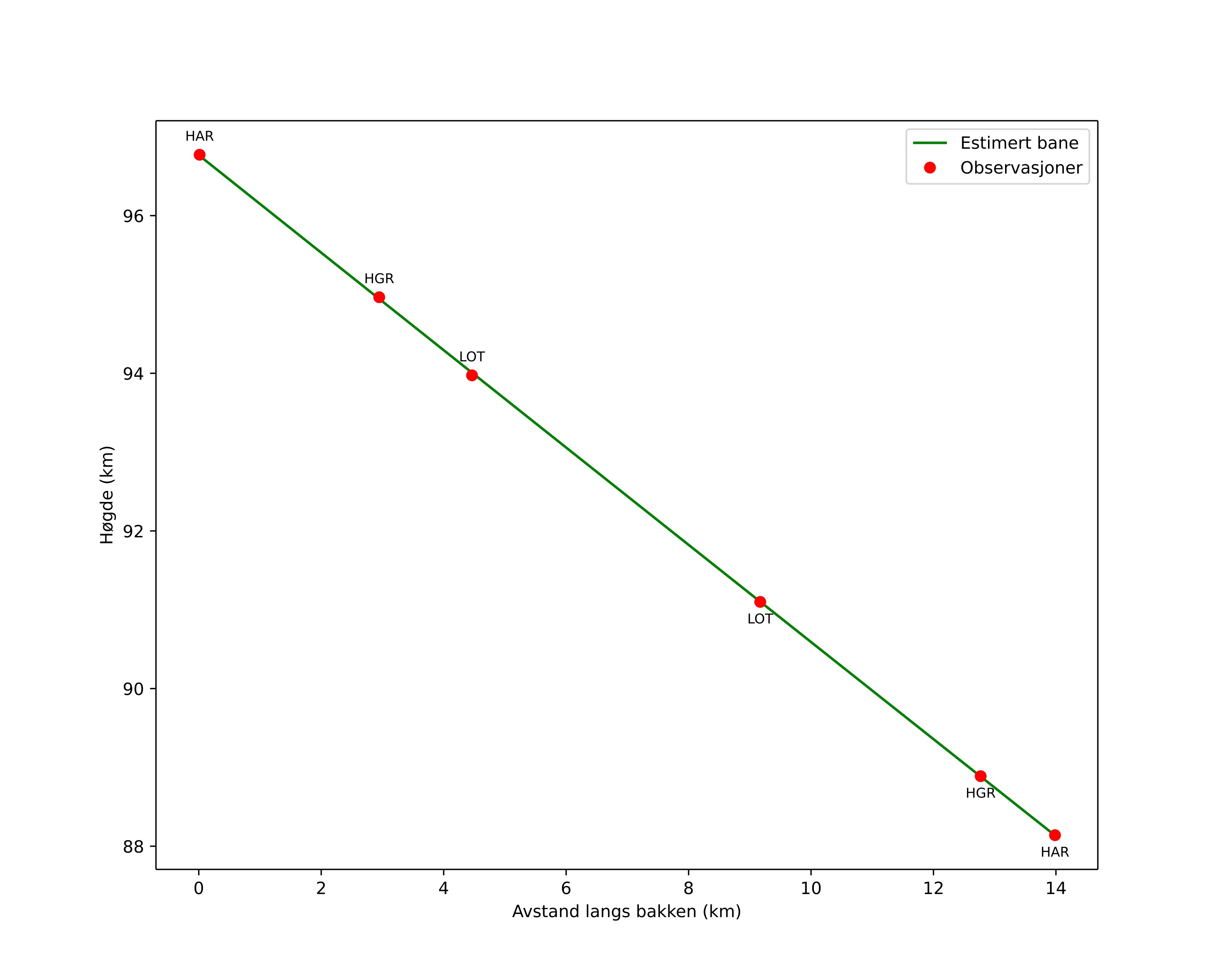
| Počátečnà výška: | 96,8 km |
| Konečná výška: | 88,1 km |
| Počátečnà poloha: | 60,138N 11,757E |
| Konečná poloha: | 60,103N 11,514E |
| Směr: | 254,0° |
| Sklon: | 31,9° |
| VstupnĂ rychlost: | 40,4 km/s |
| Rektascenze radiantu: | 07:21 (110,3°) |
| Deklinace radiantu: | 34,3° |
| MeteorickĂ˝ roj: | Geminidy |
|
Elementy dráhy meteoroidu:
| Vzdálenost v periheliu: | 0,148 AU |
| Excentricita: | 0,939 |
| Sklon dráhy: | 29,7° |
| Délka vzestupného uzlu: | 261,7° |
| Argument perihelia: | 319,0° |
| Střednà anomálie: | 351,0° |
| Epocha: | 2025 DEC 13 19:19:12 |
|