🇳🇴 🇬🇧 🇩🇪 🇨🇿 🇫🇮

Meteor over Auli 2025-12-13 21:02:09 UTC

KML-fil  |  Interaktivt kart

Kartet viser peilingene for meteoren. De lysere linjene viser retningene fra observasjonsstedene for meteorens tilsynekomst, og de mørkere linjene viser hvor den sist kunne sees. Den blå pila viser meteorens synlige ferd.

static map
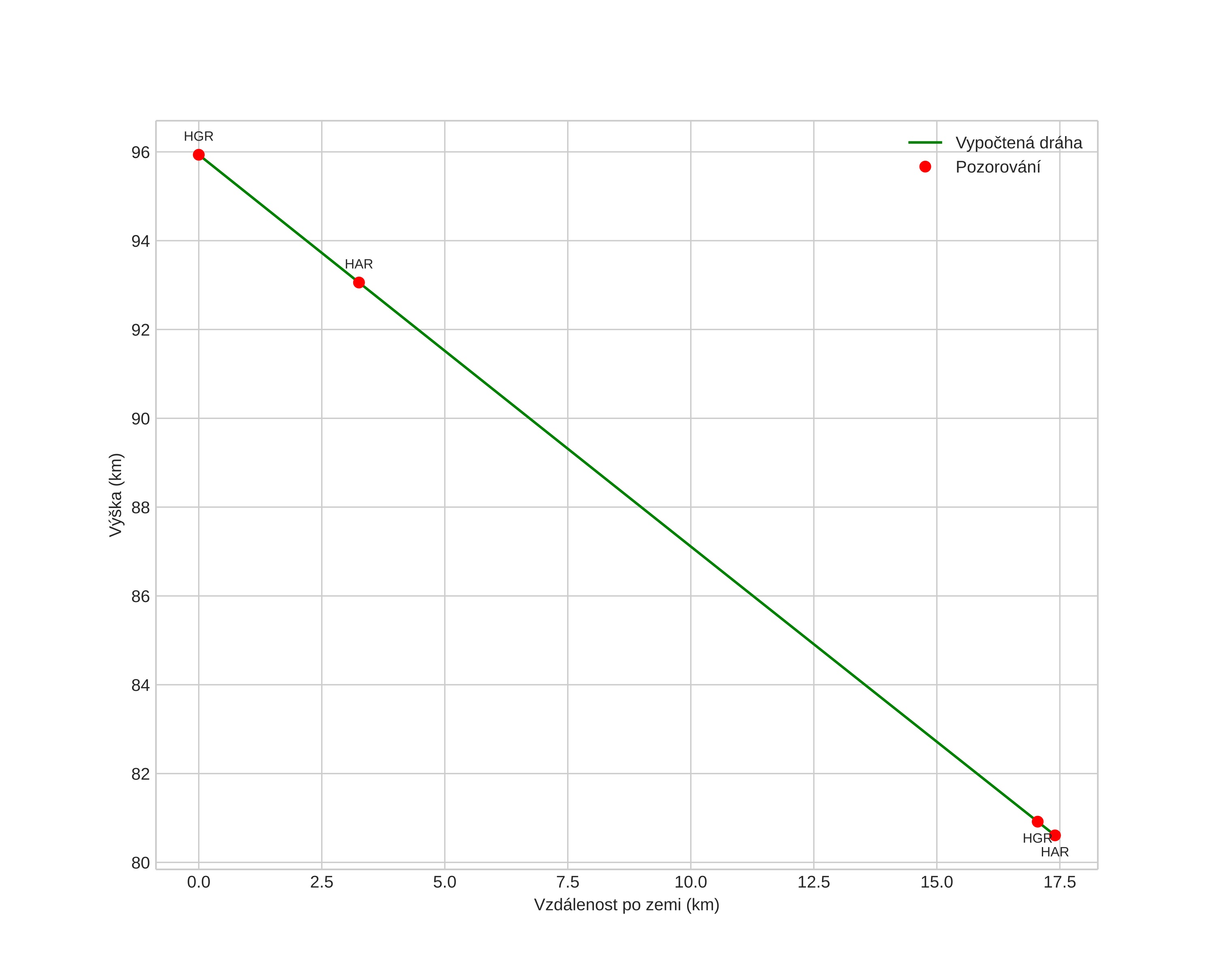
height profile
Meteorens atmosfæriske bane:
Starthøgde: 95,9 km
Slutthøgde: 80,6 km
Startposisjon: 60,047N 11,716E
Sluttposisjon: 60,057N 11,403E
Retning: 273,8°
Fallvinkel: 41,3°
Inngangshastighet: 36,4 km/s
Radiantens rektascensjon: 07:34 (113,7°)
Radiantens deklinasjon: 32,3°
Meteorsverm: Geminidene
Meteoroidens baneelement:
Perihelavstand: 0,137 AU
Eksentrisitet: 0,897
Inklinasjon: 24,1°
Knutelengde: 261,7°
Perihelargument: 325,1°
Midlere anomali: 336,0°
Epoke: 2025 DEC 13 21:02:09
orbit plot

Ikke-interaktivt plott | Interaktivt plott

position vs time
speed and acceleration

Hagar (HGR) cam6


gnomonic
Videoer
• Gnomonisk
• Gnomonisk med koordinater
• Original
• Original med koordinater
Bilder
• Gnomonisk
• Gnomonisk med koordinater
• Original
• Original med koordinater
Tekstfiler
• Deteksjon
• Observasjon
• Koordinater
• Logg
Lysstyrke

Harestua (HAR) cam7


gnomonic
Videoer
• Gnomonisk
• Gnomonisk med koordinater
• Original
• Original med koordinater
Bilder
• Gnomonisk
• Gnomonisk med koordinater
• Original
• Original med koordinater
Tekstfiler
• Deteksjon
• Observasjon
• Koordinater
• Logg
Lysstyrke