Atmosférická dráha meteoru:
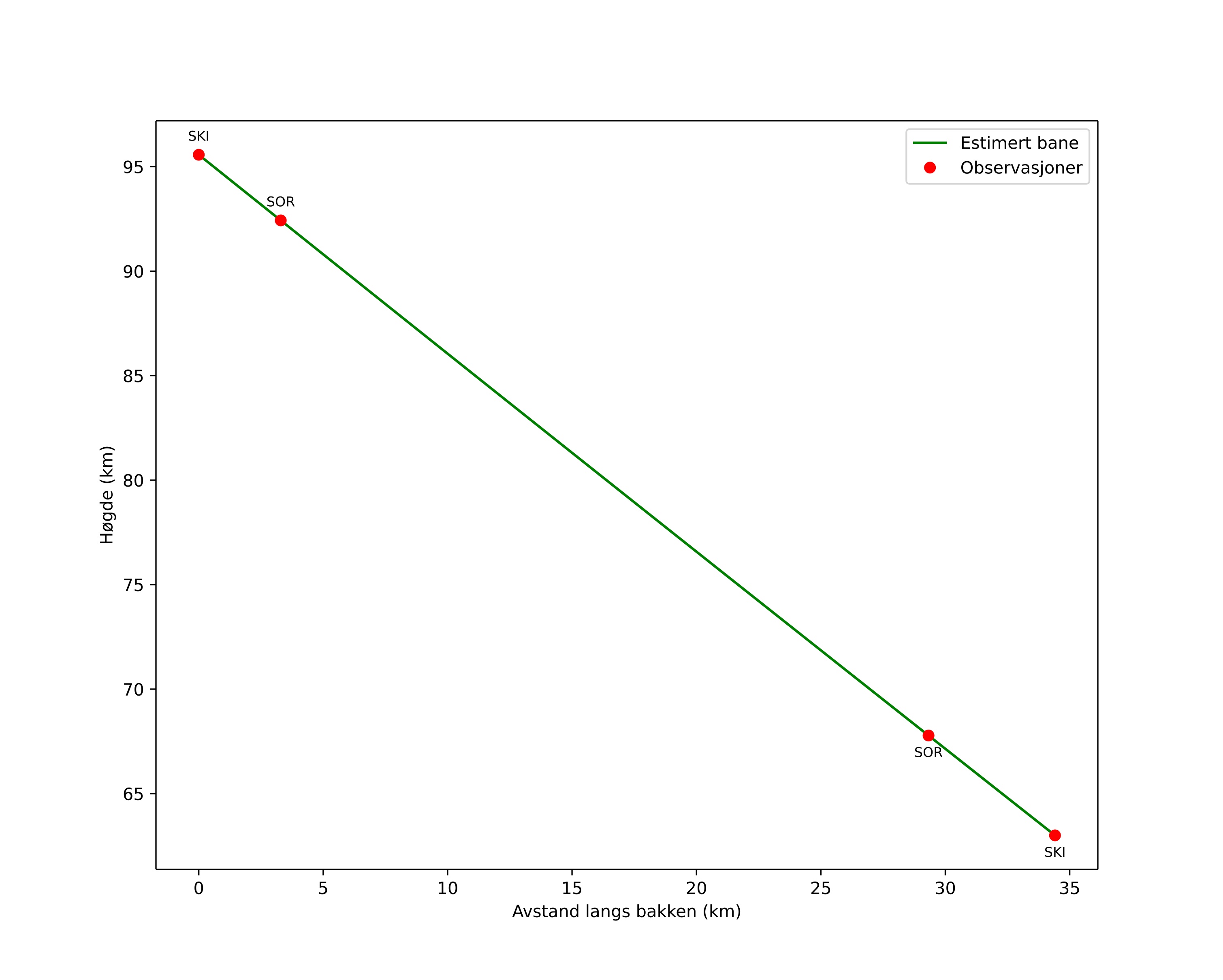
| Počátečnà výška: | 95,6 km |
| Konečná výška: | 63,0 km |
| Počátečnà poloha: | 71,077N 17,821E |
| Konečná poloha: | 71,284N 18,534E |
| Směr: | 47,7° |
| Sklon: | 43,5° |
| VstupnĂ rychlost: | 36,0 km/s |
| Rektascenze radiantu: | 07:42 (115,7°) |
| Deklinace radiantu: | 28,2° |
| MeteorickĂ˝ roj: | Geminidy |
|
Elementy dráhy meteoroidu:
| Vzdálenost v periheliu: | 0,104 AU |
| Excentricita: | 0,912 |
| Sklon dráhy: | 17,5° |
| Délka vzestupného uzlu: | 262,0° |
| Argument perihelia: | 331,0° |
| Střednà anomálie: | 332,2° |
| Epocha: | 2025 DEC 14 03:35:34 |
|