🇳🇴 🇬🇧 🇩🇪 🇨🇿 🇫🇮

Meteor over Hatteng 2025-12-14 05:36:37 UTC

KML-fil  |  Interaktivt kart

Kartet viser peilingene for meteoren. De lysere linjene viser retningene fra observasjonsstedene for meteorens tilsynekomst, og de mørkere linjene viser hvor den sist kunne sees. Den blå pila viser meteorens synlige ferd.

static map
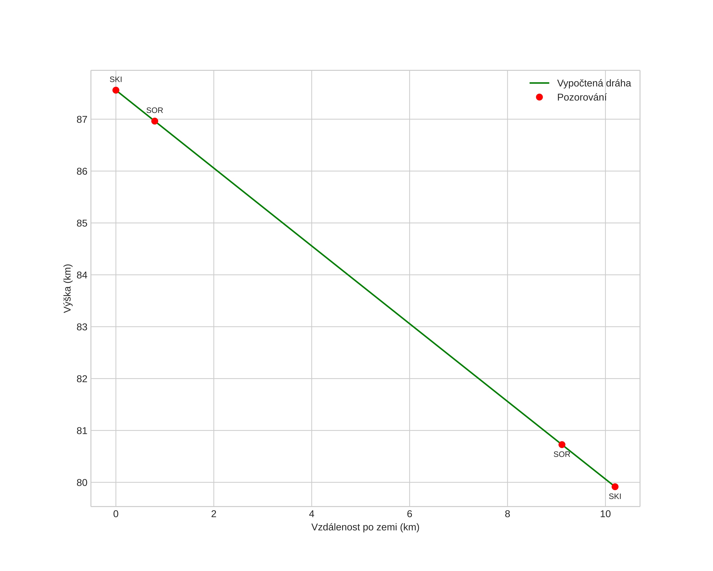
height profile
Meteorens atmosfæriske bane:
Starthøgde: 87,6 km
Slutthøgde: 79,9 km
Startposisjon: 68,609N 20,082E
Sluttposisjon: 68,612N 20,334E
Retning: 88,0°
Fallvinkel: 37,1°
Inngangshastighet: 36,0 km/s
Radiantens rektascensjon: 07:33 (113,3°)
Radiantens deklinasjon: 32,0°
Meteorsverm: Geminidene
Meteoroidens baneelement:
Perihelavstand: 0,142 AU
Eksentrisitet: 0,896
Inklinasjon: 22,8°
Knutelengde: 262,1°
Perihelargument: 324,1°
Midlere anomali: 336,9°
Epoke: 2025 DEC 14 05:36:37
orbit plot

Ikke-interaktivt plott | Interaktivt plott

position vs time
speed and acceleration

Skibotn (SKI) cam4


gnomonic
Videoer
• Gnomonisk
• Gnomonisk med koordinater
• Original
• Original med koordinater
Bilder
• Gnomonisk
• Gnomonisk med koordinater
• Original
• Original med koordinater
Tekstfiler
• Deteksjon
• Observasjon
• Koordinater
• Logg
Lysstyrke

Sorreisa (SOR) cam3


gnomonic
Videoer
• Gnomonisk
• Gnomonisk med koordinater
• Original
• Original med koordinater
Bilder
• Gnomonisk
• Gnomonisk med koordinater
• Original
• Original med koordinater
Tekstfiler
• Deteksjon
• Observasjon
• Koordinater
• Logg
Lysstyrke