🇳🇴 🇬🇧 🇩🇪 🇨🇿 🇫🇮

Meteor over Storsteinnes 2025-12-14 05:58:41 UTC

KML-fil  |  Interaktivt kart

Kartet viser peilingene for meteoren. De lysere linjene viser retningene fra observasjonsstedene for meteorens tilsynekomst, og de mørkere linjene viser hvor den sist kunne sees. Den blå pila viser meteorens synlige ferd.

static map
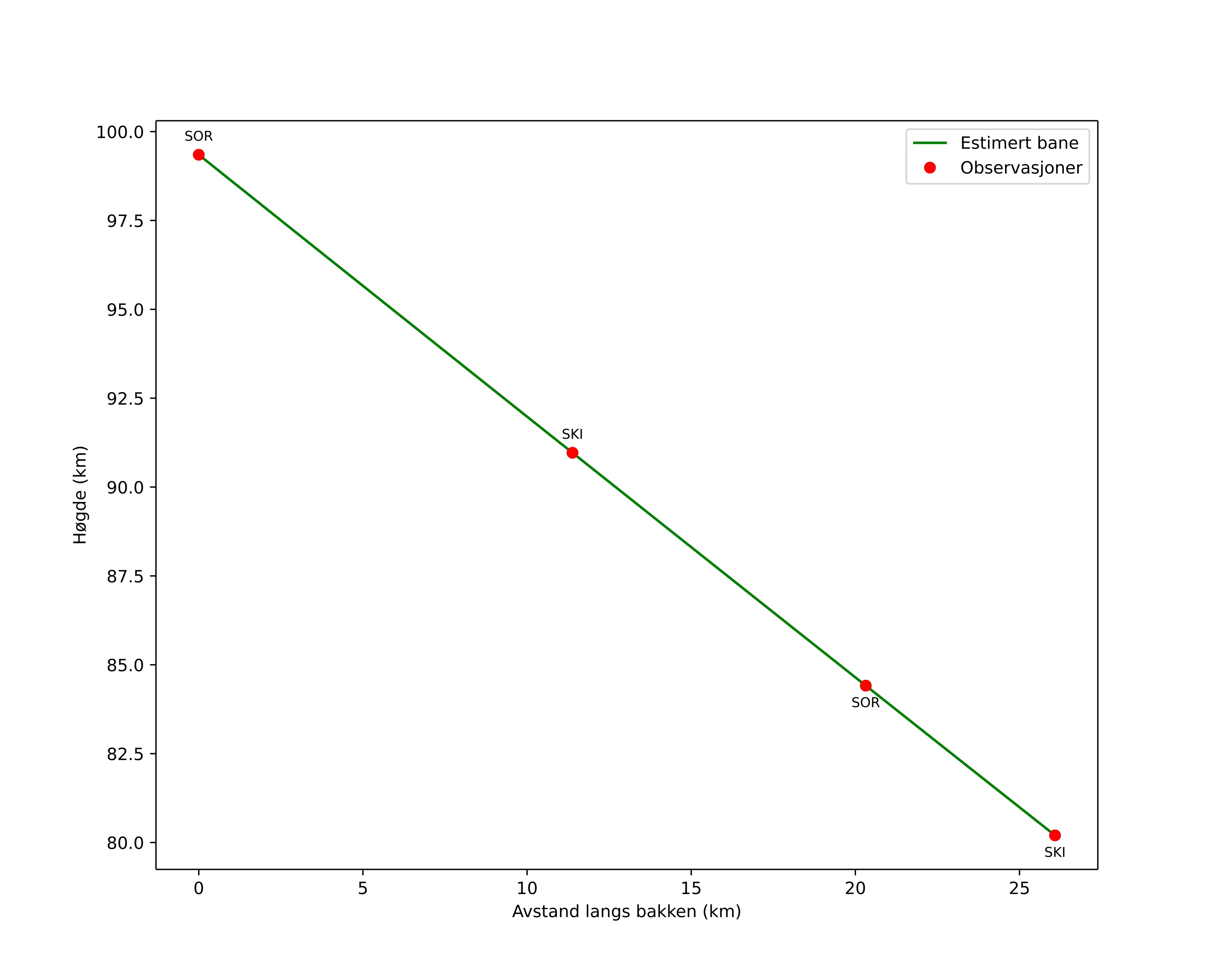
height profile
Meteorens atmosfæriske bane:
Starthøgde: 99,3 km
Slutthøgde: 80,2 km
Startposisjon: 68,745N 18,519E
Sluttposisjon: 68,737N 19,165E
Retning: 91,6°
Fallvinkel: 36,2°
Inngangshastighet: 40,0 km/s
Radiantens rektascensjon: 07:35 (113,8°)
Radiantens deklinasjon: 32,8°
Meteorsverm: Geminidene
Meteoroidens baneelement:
Perihelavstand: 0,118 AU
Eksentrisitet: 0,938
Inklinasjon: 30,6°
Knutelengde: 262,1°
Perihelargument: 324,9°
Midlere anomali: 347,1°
Epoke: 2025 DEC 14 05:58:41
orbit plot

Ikke-interaktivt plott | Interaktivt plott

position vs time
speed and acceleration

Skibotn (SKI) cam7


gnomonic
Videoer
• Gnomonisk
• Gnomonisk med koordinater
• Original
• Original med koordinater
Bilder
• Gnomonisk
• Gnomonisk med koordinater
• Original
• Original med koordinater
Tekstfiler
• Deteksjon
• Observasjon
• Koordinater
• Logg
Lysstyrke

Sorreisa (SOR) cam7


gnomonic
Videoer
• Gnomonisk
• Gnomonisk med koordinater
• Original
• Original med koordinater
Bilder
• Gnomonisk
• Gnomonisk med koordinater
• Original
• Original med koordinater
Tekstfiler
• Deteksjon
• Observasjon
• Koordinater
• Logg
Lysstyrke