🇳🇴 🇬🇧 🇩🇪 🇨🇿 🇫🇮

Meteor over Hansnes 2025-12-15 00:00:44 UTC

KML-fil  |  Interaktivt kart

Kartet viser peilingene for meteoren. De lysere linjene viser retningene fra observasjonsstedene for meteorens tilsynekomst, og de mørkere linjene viser hvor den sist kunne sees. Den blå pila viser meteorens synlige ferd.

static map
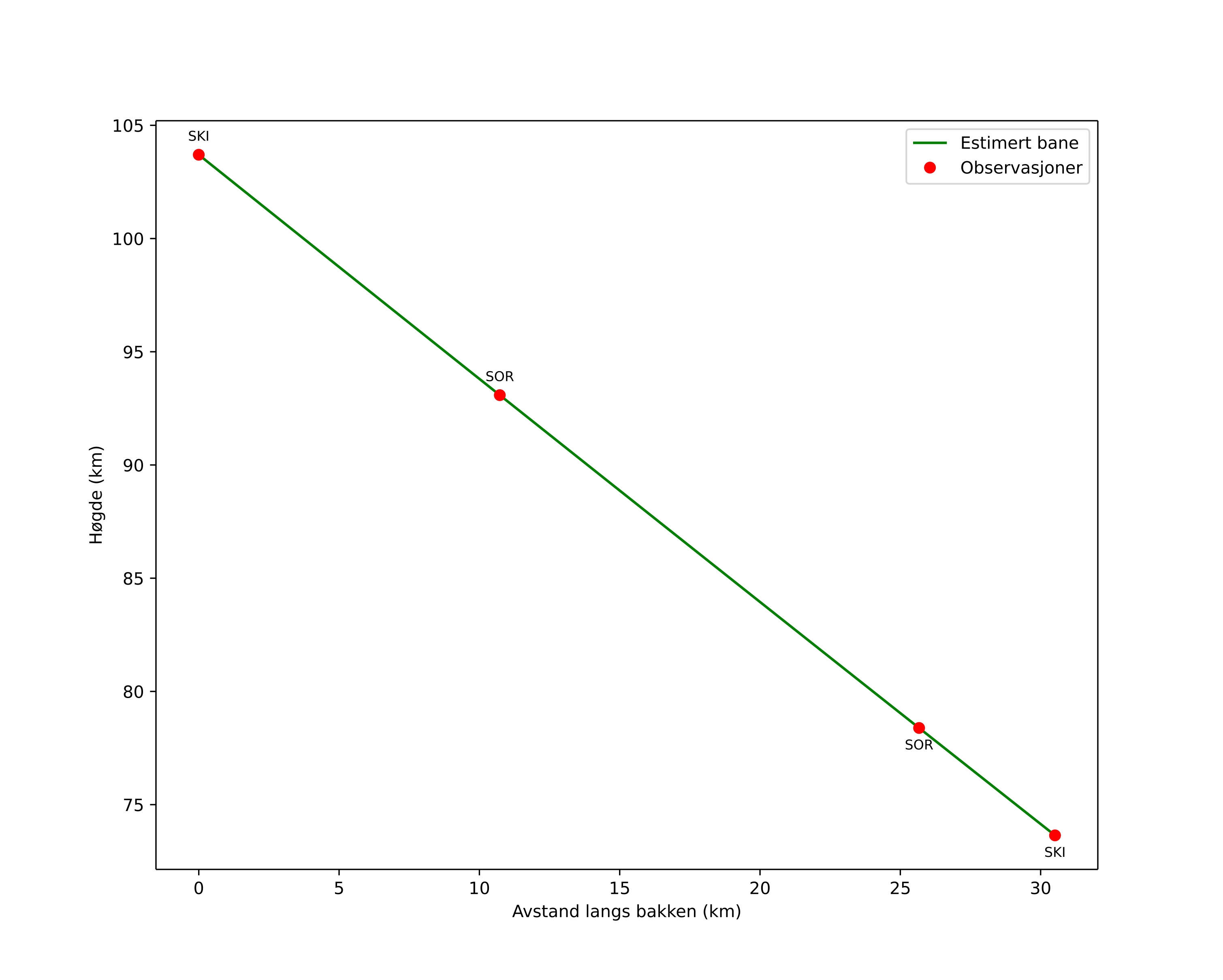
height profile
Meteorens atmosfæriske bane:
Starthøgde: 103,7 km
Slutthøgde: 73,6 km
Startposisjon: 71,426N 20,251E
Sluttposisjon: 71,696N 20,096E
Retning: 349,8°
Fallvinkel: 44,6°
Inngangshastighet: 40,8 km/s
Radiantens rektascensjon: 07:27 (111,8°)
Radiantens deklinasjon: 25,4°
Meteorsverm: Geminidene
Meteoroidens baneelement:
Perihelavstand: 0,092 AU
Eksentrisitet: 0,958
Inklinasjon: 10,4°
Knutelengde: 262,9°
Perihelargument: 328,4°
Midlere anomali: 350,1°
Epoke: 2025 DEC 15 00:00:44
orbit plot

Ikke-interaktivt plott | Interaktivt plott

position vs time
speed and acceleration

Skibotn (SKI) cam1


gnomonic
Videoer
• Gnomonisk
• Gnomonisk med koordinater
• Original
• Original med koordinater
Bilder
• Gnomonisk
• Gnomonisk med koordinater
• Original
• Original med koordinater
Tekstfiler
• Deteksjon
• Observasjon
• Koordinater
• Logg
Lysstyrke

Sorreisa (SOR) cam1


gnomonic
Videoer
• Gnomonisk
• Gnomonisk med koordinater
• Original
• Original med koordinater
Bilder
• Gnomonisk
• Gnomonisk med koordinater
• Original
• Original med koordinater
Tekstfiler
• Deteksjon
• Observasjon
• Koordinater
• Logg
Lysstyrke