🇳🇴 🇬🇧 🇩🇪 🇨🇿 🇫🇮

Meteor over Løding 2025-12-15 23:13:33 UTC

KML-fil  |  Interaktivt kart

Kartet viser peilingene for meteoren. De lysere linjene viser retningene fra observasjonsstedene for meteorens tilsynekomst, og de mørkere linjene viser hvor den sist kunne sees. Den blå pila viser meteorens synlige ferd.

static map
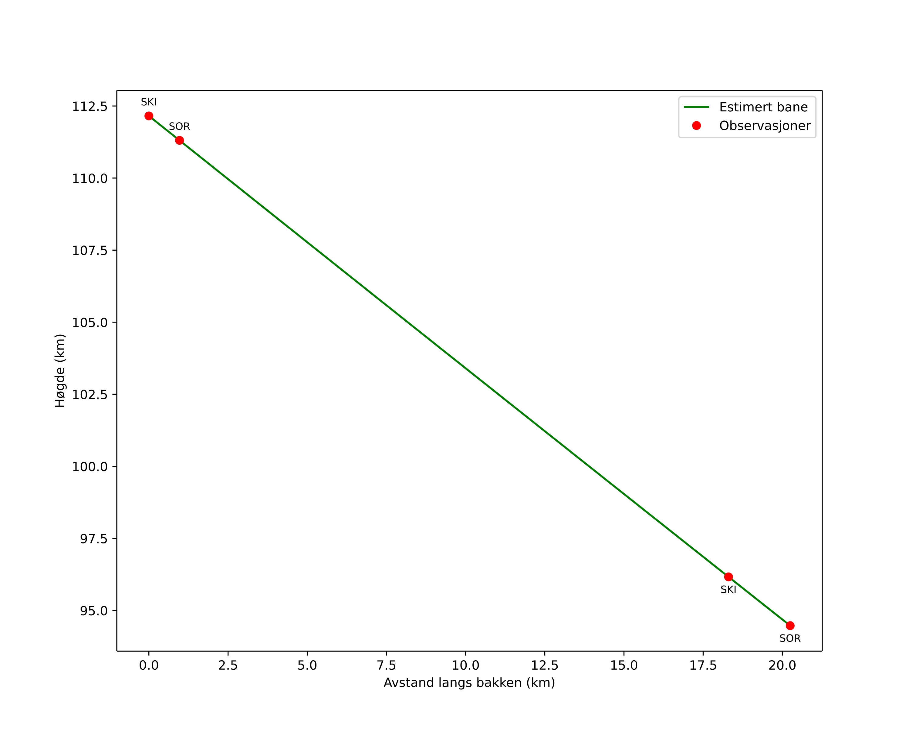
height profile
Meteorens atmosfæriske bane:
Starthøgde: 112,2 km
Slutthøgde: 94,5 km
Startposisjon: 67,146N 15,450E
Sluttposisjon: 67,182N 14,990E
Retning: 281,9°
Fallvinkel: 41,2°
Inngangshastighet: 70,3 km/s
Radiantens rektascensjon: 09:59 (149,8°)
Radiantens deklinasjon: 33,0°
Meteorsverm: desember-leonis-minoridene
Meteoroidens baneelement:
Perihelavstand: 0,513 AU
Eksentrisitet: 1,365
Inklinasjon: 136,5°
Knutelengde: 263,9°
Perihelargument: 260,2°
Midlere anomali: -18,7°
Epoke: 2025 DEC 15 23:13:33
orbit plot

Ikke-interaktivt plott | Interaktivt plott

position vs time
speed and acceleration

Skibotn (SKI) cam4


gnomonic
Videoer
• Gnomonisk
• Gnomonisk med koordinater
• Original
• Original med koordinater
Bilder
• Gnomonisk
• Gnomonisk med koordinater
• Original
• Original med koordinater
Tekstfiler
• Deteksjon
• Observasjon
• Koordinater
• Logg
Lysstyrke

Sorreisa (SOR) cam4


gnomonic
Videoer
• Gnomonisk
• Gnomonisk med koordinater
• Original
• Original med koordinater
Bilder
• Gnomonisk
• Gnomonisk med koordinater
• Original
• Original med koordinater
Tekstfiler
• Deteksjon
• Observasjon
• Koordinater
• Logg
Lysstyrke