🇳🇴 🇬🇧 🇩🇪 🇨🇿 🇫🇮

Meteor over Lervik 2025-12-17 05:52:45 UTC

KML-fil  |  Interaktivt kart

Kartet viser peilingene for meteoren. De lysere linjene viser retningene fra observasjonsstedene for meteorens tilsynekomst, og de mørkere linjene viser hvor den sist kunne sees. Den blå pila viser meteorens synlige ferd.

static map
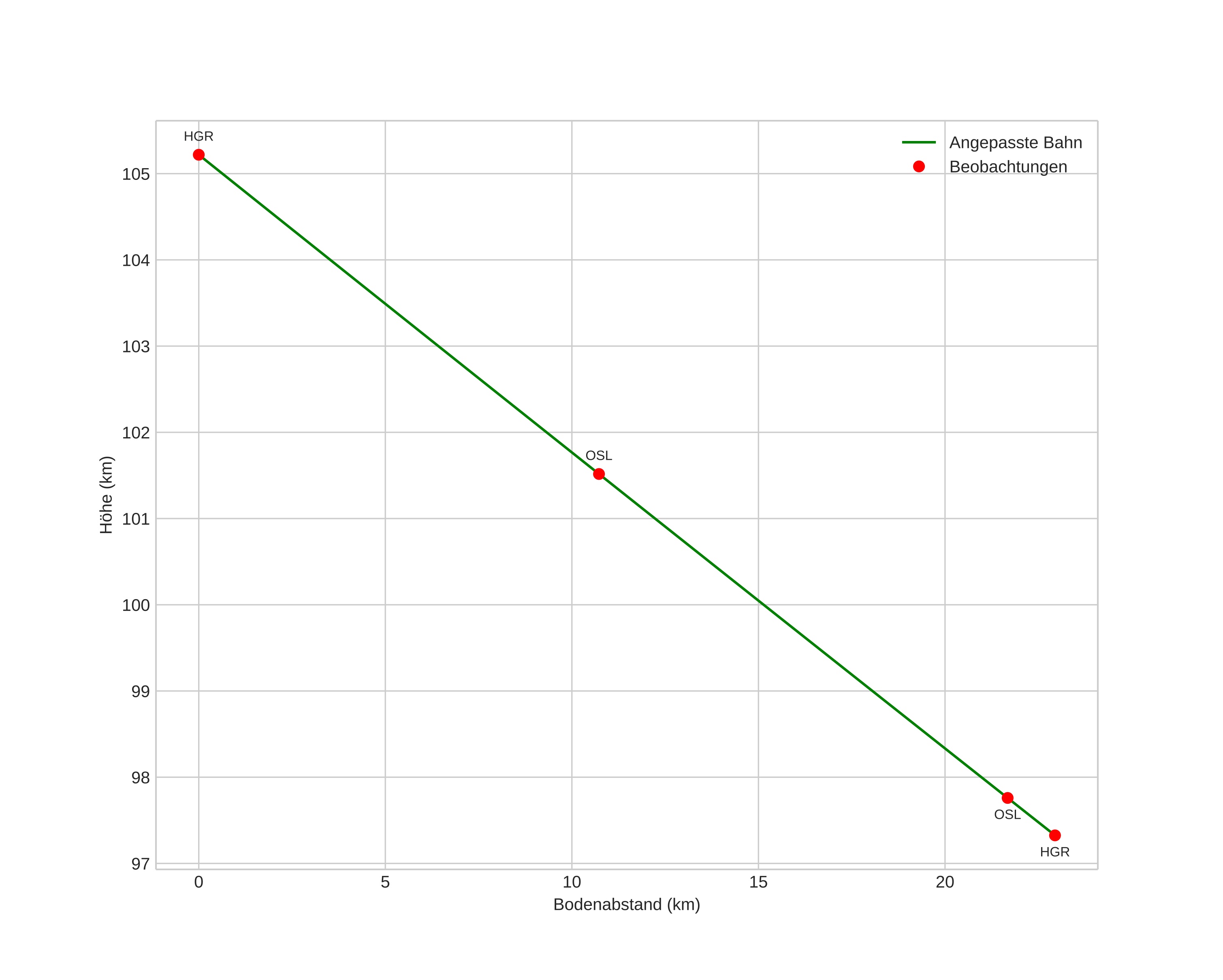
height profile
Meteorens atmosfæriske bane:
Starthøgde: 105,2 km
Slutthøgde: 97,3 km
Startposisjon: 58,971N 11,002E
Sluttposisjon: 59,086N 10,670E
Retning: 304,3°
Fallvinkel: 19,0°
Inngangshastighet: 48,6 km/s
Radiantens rektascensjon: 15:46 (236,5°)
Radiantens deklinasjon: -0,7°
Meteorsverm: sporadisk
Meteoroidens baneelement:
Perihelavstand: 0,156 AU
Eksentrisitet: 0,989
Inklinasjon: 63,8°
Knutelengde: 265,2°
Perihelargument: 46,1°
Midlere anomali: 0,6°
Epoke: 2025 DEC 17 05:52:45
orbit plot

Ikke-interaktivt plott | Interaktivt plott

position vs time
speed and acceleration

Hagar (HGR) cam5


gnomonic
Videoer
• Gnomonisk
• Gnomonisk med koordinater
• Original
• Original med koordinater
Bilder
• Gnomonisk
• Gnomonisk med koordinater
• Original
• Original med koordinater
Tekstfiler
• Deteksjon
• Observasjon
• Koordinater
• Logg
Lysstyrke

Voksenlia (OSL) cam6


gnomonic
Videoer
• Gnomonisk
• Gnomonisk med koordinater
• Original
• Original med koordinater
Bilder
• Gnomonisk
• Gnomonisk med koordinater
• Original
• Original med koordinater
Tekstfiler
• Deteksjon
• Observasjon
• Koordinater
• Logg
Lysstyrke