🇳🇴 🇬🇧 🇩🇪 🇨🇿 🇫🇮

Meteor over Skjervøy 2025-12-17 21:19:55 UTC

KML-fil  |  Interaktivt kart

Kartet viser peilingene for meteoren. De lysere linjene viser retningene fra observasjonsstedene for meteorens tilsynekomst, og de mørkere linjene viser hvor den sist kunne sees. Den blå pila viser meteorens synlige ferd.

static map
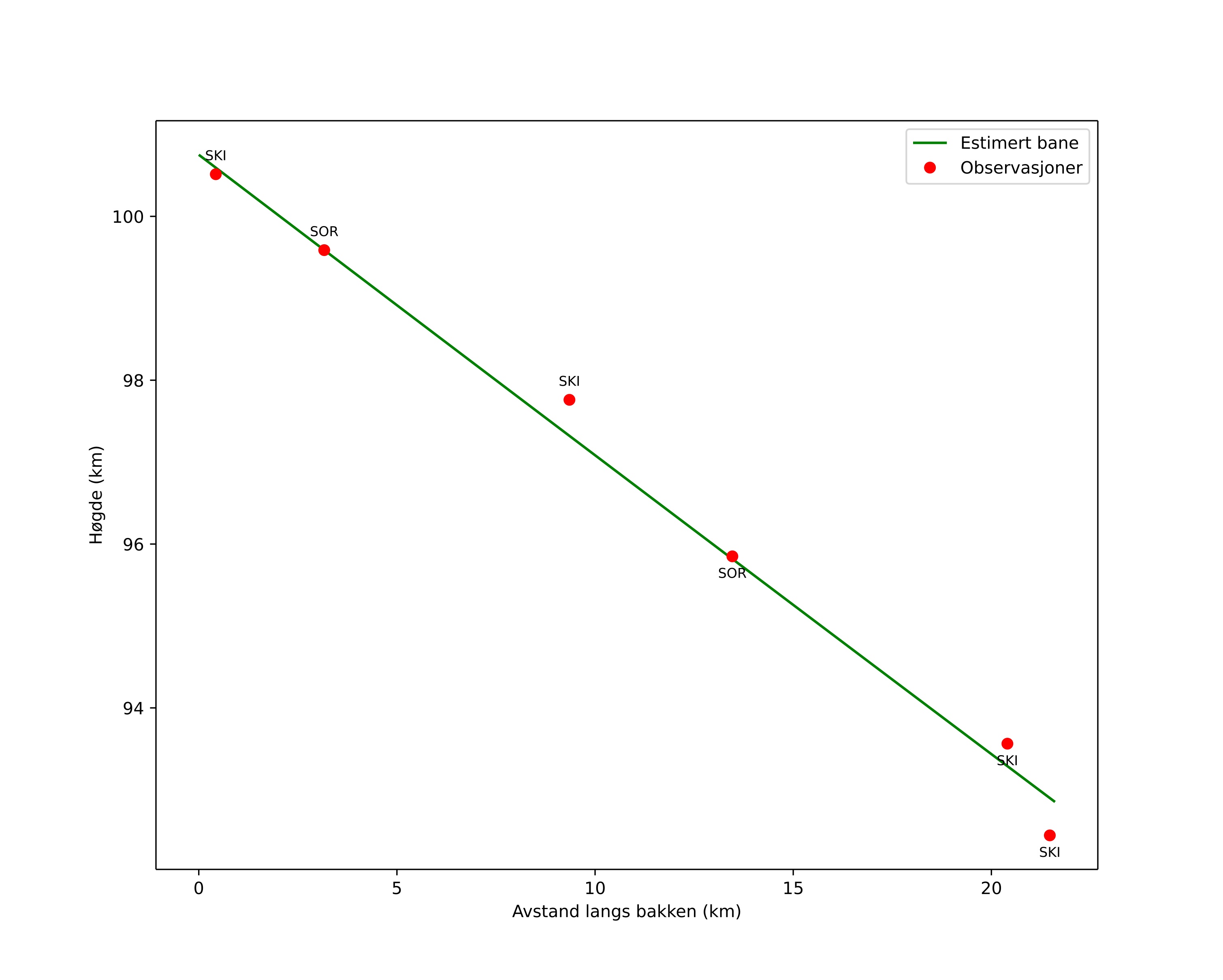
height profile
Meteorens atmosfæriske bane:
Starthøgde: 100,8 km
Slutthøgde: 92,9 km
Startposisjon: 70,075N 20,834E
Sluttposisjon: 70,225N 20,470E
Retning: 320,7°
Fallvinkel: 20,1°
Inngangshastighet: 44,2 km/s
Radiantens rektascensjon: 06:55 (103,9°)
Radiantens deklinasjon: 3,1°
Meteorsverm: Monocerotidene
Meteoroidens baneelement:
Perihelavstand: 0,269 AU
Eksentrisitet: 1,048
Inklinasjon: 39,7°
Knutelengde: 85,8°
Perihelargument: 114,9°
Midlere anomali: -2,5°
Epoke: 2025 DEC 17 21:19:55
orbit plot

Ikke-interaktivt plott | Interaktivt plott

position vs time
speed and acceleration

Skibotn (SKI) cam1


gnomonic
Videoer
• Gnomonisk
• Gnomonisk med koordinater
• Original
• Original med koordinater
Bilder
• Gnomonisk
• Gnomonisk med koordinater
• Original
• Original med koordinater
Tekstfiler
• Deteksjon
• Observasjon
• Koordinater
• Logg
Lysstyrke

Skibotn (SKI) cam6


gnomonic
Videoer
• Gnomonisk
• Gnomonisk med koordinater
• Original
• Original med koordinater
Bilder
• Gnomonisk
• Gnomonisk med koordinater
• Original
• Original med koordinater
Tekstfiler
• Deteksjon
• Observasjon
• Koordinater
• Logg
Lysstyrke

Sorreisa (SOR) cam2


gnomonic
Videoer
• Gnomonisk
• Gnomonisk med koordinater
• Original
• Original med koordinater
Bilder
• Gnomonisk
• Gnomonisk med koordinater
• Original
• Original med koordinater
Tekstfiler
• Deteksjon
• Observasjon
• Koordinater
• Logg
Lysstyrke